I'm trying to solve inverse laplace transform using inversion formula and given by this integral: $$\frac{1}{2\pi i}\int_{\gamma-i\infty}^{\gamma+i \infty} e^{st}\operatorname{Log}\left(\frac{s+1}{s}\right)\,\Bbb ds.$$
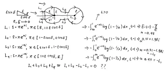
Here is my contour, since the branch points of $\operatorname{Log} \left(\frac{s+1}{s}\right)$ are $0$ and $-1$

First, i want to show integral on $L_u\cup L_d$ is $0$ by bounding the integral with ML and then take the limit when $R$ goes to $\infty$.
By letting $L_u,\, L_d: s= \xi\pm iR,0\leq \xi\leq \gamma$, where $\gamma$ is the real number that the vertical line of the given contour passed by.
Since the $L$ is $\lvert e^{t(\xi\pm iR)} \rvert$, then i have ML inequality as below:
$$\lvert F(s)e^{st} \rvert \leq M_R \lvert e^{t(\xi\pm iR)} \rvert = M_R e^{\xi t} \leq M_R e^{at}$$
Next, i need to find $M_R$ and take the limit. $$\begin{align} \left|F(s)\right| &= \left|\operatorname{Log}\left(\frac{s+1}{s}\right)\right|\\ &= \left|\operatorname{Log}\left(\frac{\xi\pm iR+1}{\xi\pm iR}\right)\right| = M_R \end{align}$$
And by taking the limit of the last expression when $R$ goes to infinity yields $0$. Meaning the integrals along those lines are $0$.
So, from here, am i doing this right? I'm not sure my work is correct. Maybe there are some mistakes there. Help me please!
Edit: Working with my $L_u$ with $ML$ inequality, i have $L=\gamma$. Assuming $-\pi<\operatorname{arg}{s}\leq \pi$ and parametrizing $s=-\xi+iR$, $\xi\in [-\gamma,0]$:
$\begin{align} \left|\int_{L_u}\right| &\leq \left|e^{st} \log\left(1 + \frac 1s\right)\right|\\ &\leq \left|e^{-\xi t}\right| \left|e^{iRt}\right|\left|\ln\left|1+ \frac{1}{-\xi+iR}\right| + i\pi\right|\\ &\leq 1\cdot 1 \cdot \ln\left(1+\frac 1R\right) + \pi\\ &\approx \frac 1R + \pi \end{align}$
Combining the $ML$ i have $$\frac{\gamma}{R} +\gamma\pi$$ Which does NOT approach to $0$. Why? Please spot my mistake. I can't think about how to make it goes to $0$ since yesterday. Hope you kind to help me.
New Edit: Now my main question is not about ML. I managed to set the big and small arc goes to $0$. My main question now is "is it possible to evaluate this by using inversion formula (without differentiate both sides) and use log form instead?"
What i mean by differentiate both sides is: $$\begin{align} \mathcal{L}^{-1} &= \operatorname{Log}\left(\frac{s+1}{s}\right)\\ (\mathcal{L}^{-1})' &= \frac{1}{1+s} - \frac{1}{s} \end{align}$$
I don't want this kind of solution. What i really want is evaluating $\operatorname{Log}\left(\frac{s+1}{s}\right)$ by inversion formula. That's it. because I keep getting integrals on the contour lines above and below the branch cut cancel each other and make everything 0, which of course I don't want it.
