0

enter preformatted text hereenter image description here

enter image description here

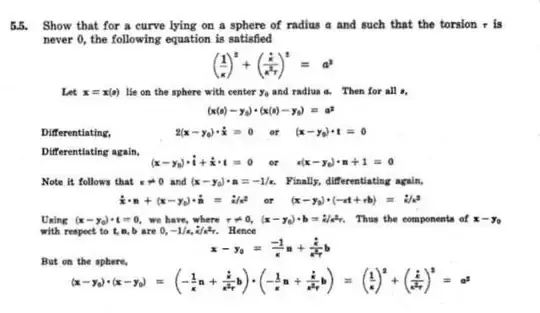
I have attached both the problem and approach to the solution. But I am confused with the steps given. I am not able to understand them. Kindly help in providing a simplified version of the solution.

PS- I tried pasting the problem and solution from a word file, but I don't understand why the editor is not accepting my text. That's why I have attached the images.

Robert Lewis
  • 72,871

1 Answers1

3

Let $\alpha(s)$ be an arc-length parametrized curve lying in the sphere of radius $a$ centered at $C \in \Bbb R^3$; then

$(\alpha(s) - C ) \cdot (\alpha(s) - C) = a^2; \tag 1$

thus, differentiating with respect to $s$ we find

$\dot \alpha(s) \cdot (\alpha(s) - C) = 0, \tag 2$

since $a^2$ is constant. Now

$\dot \alpha(s) = T(s), \tag 3$

the unit tangent vector to $\alpha$; thus (2) becomes

$T(s) \cdot (\alpha(s) - C) = 0; \tag 4$

this shows that the component of $\alpha(s) - C$ along $T(s)$ is zero; differentiating again with respect to $s$ yields

$\dot T(s) \cdot (\alpha(s) - C) + T(s) \cdot \dot \alpha(s) = 0, \tag 5$

which by virtue of (3) is transformed into

$\dot T(s) \cdot (\alpha(s) - C) + T(s) \cdot T(s) = 0, \tag 6$

which, since $T(s)$ is a unit vector, i. e.,

$T(s) \cdot T(s) = 1, \tag 7$

may be written

$\dot T(s) \cdot (\alpha(s) - C) + 1 = 0; \tag 8$

note this implies that

$\dot T(s) \ne 0; \tag{8.1}$

thus we may use the first Frenet-Serret equation

$\dot T(s) = \kappa(s) N(s), \tag 9$

where $N(s)$ is the unit normal vector field to $\alpha(s)$ and

$\kappa(s) > 0 \tag{10}$

is the curvature of $\alpha(s)$; from (8) we obtain

$\kappa(s) N(s) \cdot (\alpha(s) - C) + 1 = 0; \tag{11}$

applying a little ordinary algebra we find

$N(s) \cdot (\alpha(s) - C) = -\dfrac{1}{\kappa(s)}, \tag{11.5}$

which expresses the $N(s)$ component of $\alpha(s) - C$; taking yet another $s$-derivative, this time of (11):

$\dot N(s) \cdot (\alpha(s) - C) + N(s) \cdot \dot \alpha(s) = \dfrac{\dot \kappa(s)}{\kappa^2(s)}; \tag{12}$

via (3),

$\dot N(s) \cdot (\alpha(s) - C) + N(s) \cdot T(s) = \dfrac{\dot \kappa(s)}{\kappa^2(s)}, \tag{13}$

and with

$N(s) \cdot T(s) = 0, \tag{14}$

$\dot N(s) \cdot (\alpha(s) - C) = \dfrac{\dot \kappa(s)}{\kappa^2(s)}; \tag{15}$

the second Frenet-Serret equation

$\dot N(s) = -\kappa(s) T(s) + \tau(s) B(s), \tag{16}$

in which $\tau(s)$ is the torsion and

$B(s) = T(s) \times N(s) \tag{17}$

is the unit binormal vector to $\alpha(s)$, may now be used to transform (15) into

$(-\kappa(s) T(s) + \tau(s) B(s)) \cdot (\alpha(s) - C) = \dfrac{\dot \kappa(s)}{\kappa^2(s)}, \tag{18}$

or

$- \kappa(s) T(s) \cdot (\alpha(s) - C) + \tau(s) B(s) \cdot (\alpha(s) - C) = \dfrac{\dot \kappa(s)}{\kappa^2(s)}, \tag{19}$

apply (4):

$\tau(s) B(s) \cdot (\alpha(s) - C) = \dfrac{\dot \kappa(s)}{\kappa^2(s)}, \tag{20}$

a little more algebraic grease and this yields

$B(s) \cdot (\alpha(s) - C) = \dfrac{\dot \kappa(s)}{\kappa^2(s) \tau(s)}, \tag{21}$

the component of $\alpha(s) - C$ along $B(s)$. We may expand $\alpha(s) - C$ in the basis comprised of $T(s)$, $N(s)$, and $B(s)$:

$\alpha(s) - C =$ $((\alpha(s) - C) \cdot T(s)) T(s) + ((\alpha(s) - C) \cdot N(s))N(s) + ((\alpha(s) - C) \cdot B(s))B(s); \tag{22}$

in light of (4), (11.5), and (19) we find

$\alpha(s) - C = -\dfrac{1}{\kappa(s)}N(s) + \dfrac{\dot \kappa(s)}{\kappa^2(s) \tau(s)}B(s); \tag{23}$

finally, we insert this into (1) and, recalling that $N(s)$ and $B(s)$ are orthonormal, obtain

$a^2 = \dfrac{1}{\kappa^2(s)} + \left ( \dfrac{\dot \kappa(s)}{\kappa^2(s) \tau(s)} \right )^2, \tag{24}$

the desired result. $OE\Delta$.

Robert Lewis
  • 72,871