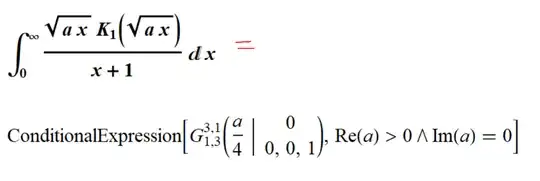
By using Mathematica, I am able to obtain the result of $\int_{x = 0}^{x = \infty } {\frac{{\sqrt {ax} {K_1}\left( {\sqrt {ax} } \right)}}{{x + 1}}} dx$ where $a>0$ as 
But I am not sure why does the Meijer G function pops up.
Could you kindly explain the reason for this ?
Thank you !