I'm struggling with verifying inequalities through the use of induction and wanted some guidance on the matter. I asked a question previous to this one that's similar, but this problem is different and aims at clarifying the rest of my confusion.
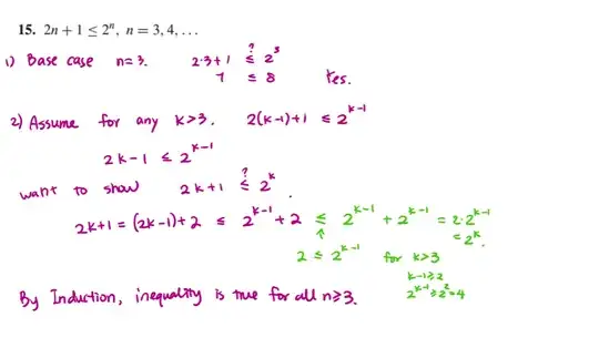
The problem is this: verify the inequality $2n+1 \le 2^n$ for $n = 3,4...$
I have a screenshot of the problem along with my professor's solution, but I am not understanding her solution at all.
I understand that induction with inequalities works by this process: let the left side of the inequality you are trying to prove be A. let the left side of the inductive hypothesis be B, and the right side be C. Since you know B<C with your hypothesis, you have to show A<B is true. If it is, you can conclude A<C.
How can this be done with this problem?
