While solving the problems of chapter 1 from Introduction to Analytic Number Theory by Tom M. Apostol, I observed something interesting.
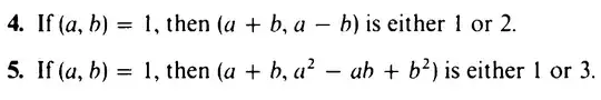
In problem 4, we show that $(a+b,a-b) = 1$ or $2$ and we have $(a+b)\cdot(a-b) = (a^2-b^2)$.
Similarly, in problem 5, we show that $(a+b,a^2-ab+b^2) = 1$ or $3$ and we have $(a+b)\cdot(a^2-ab+b^2) = (a^3+b^3)$.
I was wondering if it is true in general. My precise question is the following:
Can we expect that $(c,d) = 1$ or a factor of $n$, when $c\cdot d = a^n \pm b^n,$ where $c$ and $d$ are expression in $a$ and $b$.
And if it is true, what are those $n$?
