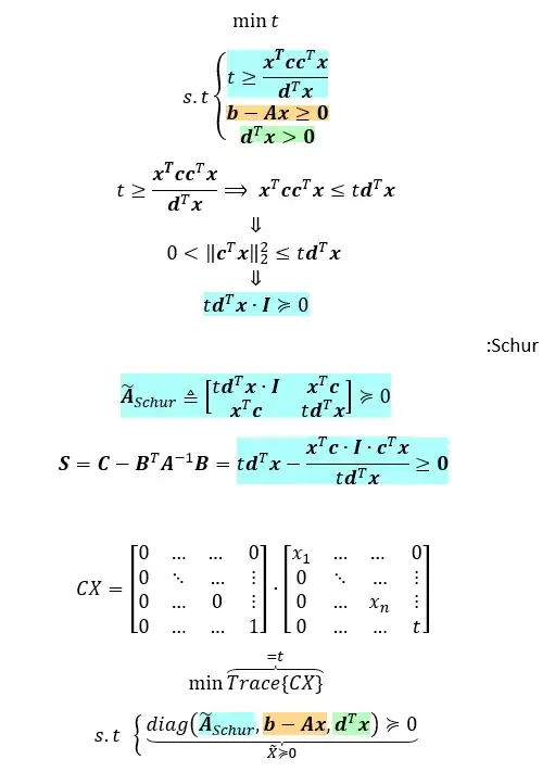
$$\begin{array}{ll} \text{minimize} & \dfrac{(c^T x)^2}{(d^Tx)}\\ \text{subject to} & Ax \leq b\\ & d^T x > 0\end{array}$$
I have been stuck on this question for a couple days. I am sharing with you what I tried, although I am pretty sure it's wrong. Please help.
