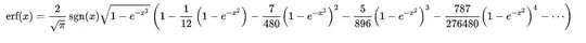
I've been looking into Burmann series to approximate special functions. I looked at "On Bürmann’s Theorem and Its Application to Problems of Linear and Nonlinear Heat Transfer and Diffusion". Looking at the example for $erf$ also shown here Integration of $e^{-x^2}$ the authors create a new type of constant called $c_i$ and somehow come up with $c0 = \sqrt{\pi}/2 $
where (32) is
and
I don't understand what these constants are. They appear to be unrelated to Burmann constants in the corresponding burrman series, but some how a retraction of
How can I get the rest of the constants?




