The question is in the title. I will present the argument that I have for this.
Proof Attempt:
Let $a = 1$. Then, $a^{\frac{1}{n}} = 1$ for all $n \in \mathbb{N}$ so the limit is clearly equal to 1.
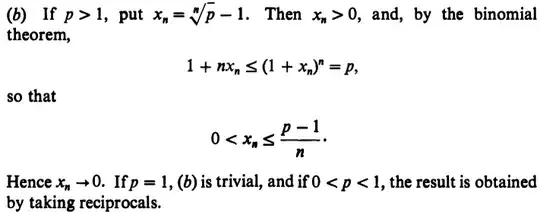
Let $a > 1$. Define $x_n = a^{\frac{1}{n}} - 1$. Then, we have:
$$a = (1+x_n)^n$$
I claim that $x_n > 0$ for all $n \in \mathbb{N}$. To show that this is true, suppose that $x_n \leq 0$. Then, $a^{\frac{1}{n}} < 1$ and that implies that $a \leq 1$. This is false under the given hypothesis that $a > 1$.
Now, we use Bernoulli's inequality and deduce that:
$$a = (1+x_n)^n \geq 1+nx_n \geq 1$$
$$\frac{a-1}{n} \geq x_n \geq 0$$
By the Squeeze Theorem, it follows that $x_n \to 0$ as $n \to \infty$. That is, $a^{\frac{1}{n}} \to 1$ as $n \to \infty$.
Suppose that $0 < a < 1$. Then:
$$b = \frac{1}{a} > 1$$
Clearly, the sequence defined by $x_n = b^{\frac{1}{n}}$ converges to 1. So:
$$\lim_{n \to \infty} b^{\frac{1}{n}} = 1$$
$$\lim_{n \to \infty} \frac{1}{b^{\frac{1}{n}}} = \frac{1}{\lim_{n \to \infty} b^{\frac{1}{n}}} = \lim_{n \to \infty} a^{\frac{1}{n}} = 1$$
That proves the desired result.
Is the proof above correct? If it isn't, why? How can I fix it?
Edit:
Since one individual has voted for this question to be closed, I want to explain why it's not a duplicate and the suggestion that it should be closed makes no sense.
This question requires a solution to be verified. Namely, my solution to the given problem is what needs to be verified. It needs to be criticized and holes need to be pointed out so that I may fix the proof. That's actually explicitly what I've asked in the last line of the original question.
Since I'm self-studying mathematics, it stands to reason that I may believe I have a proof but, in reality, do not have one. If someone can point out the mistake in my argument and if I can fix it without having to refer to another person's proof, then that would be more fruitful.
Let $a > 1$ and $x > 0$. Prove that $a^x > 1$
Please refer to the above link for another question I asked, where I believed that I had a proof of the result and several individuals chipped in to help me fix it. The mistake with respect to my proof was explicitly pointed out to me and that ended up being very useful. The question that was linked, while containing useful and insightful information that I would be interested in AFTER I proved the result, does not answer the question as I had asked it.
