0

Question link : Proving Binomial Identity without calculus

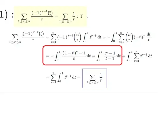
i have one doubt in the given answer below ,my doubts mark in red colour enter image description here

My doubt is that $$ \text{why} -\int_{0}^{1}{({1 - t})^{n} - 1 \over t}d t = \int_{0}^{1}{t^{n} - 1 \over t - 1}d t ?$$

My attempt : Take $n= 2$ then ${({1 - t})^{n} - 1 \over t} \neq {t^{n} - 1 \over t - 1}$

that is $-\int_{0}^{1}{({1 - t})^{n} - 1 \over t}d t \neq \int_{0}^{1}{t^{n} - 1 \over t - 1}d t $

I don't understand where im doing mistake ?

RobPratt
  • 50,938
jasmine
  • 15,021

2 Answers2

1

Use a $u$-substitution with $u=1-t$ and then change $u$ to $t$.

RobPratt
  • 50,938
1

Substitute $u=1-t$ to get

$$\int_{0}^{1}{({1 - t})^{n} - 1 \over t}d t = \int_{0}^{1}{u^{n} - 1 \over u- 1}d u $$

Quanto
  • 120,125