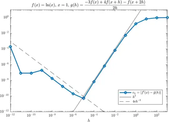
y'all! For my ODEs class in college, we were asked to find the truncation error and round-off error(separately) for this given finite differences problem.
$f'(x) \approx$ $\frac{-3f(x)+4f(x+h)-f(x+2h)}{2h}$
It says we should ignore the round-off errors in h,x,x+h, x+2h?
I am not too sure about the following things:
Firstly, I thought these were the very terms the errors were coming from. So how can we just ignore these and still be able to compute the error?
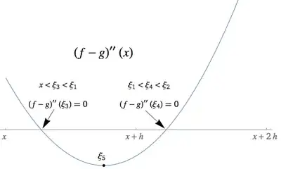
Secondly, I understand that the solution to this problem has to be when we expand this expression using the Taylor series, but I am not too sure how to expand it. The reason I say this is because usually when expanding a function of the form $f(x)$ using the Taylor series, we expand about some point a. But here the function to expand is of the form (x+2h) and (x+h), and I am not even sure which point we are expanding this function about.
Thirdly, for the round-off error if we are to consider round-off error in each term in the numerator, how do we account for these, just add them up?
Finally, if someone posts a solution the problem, can you please help me specifically with the Taylor expansions? Our Calculus 2 class did not cover it.
Also, am I able to find a finite difference approximation to the second derivative of f using this?
The way I thought about it was is that in the easiest case of finding second derivative using finite difference, we have that $f''(x) = \frac{f(x+h)+f(x-h)+2f(x)}{h^{2}}$. Should I just replace the values in the above term?




