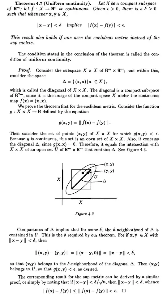
What shown below is a reference from "Analysis on manifolds" by James R. Munkres
First of all I desire discuss the compactness of $\Delta$: infact strangerly I proved the compactness of $\Delta$ in the following way. So we remember that if $Y$ is compact and if $Z\subseteq Y$is closed then $Z$ is compact; moreover if $Z$ is hausdorff separable then $\Delta Z:=\{(z,z):z\in Z\}$ is closed in $Z\times Z$; and finally if $Z\subseteq Y$ is compact and if $S\subseteq Z$ is compact in $Z$ then it is compact too in $Y$. So we observe that the compact $X$ is hausdorff separable, since $\Bbb{R}^m$ is hausdorff separable and since the hausdorff separability is hereditary; moreover $X\times X$ is compact and hausdorff separable, since the compactness and the hausdorff separability are multiplicative properties. So for what previously we observed, we can claim that $\Delta$ is compact in $\Bbb{R}^{2m}$. So is what I observed correct?
Now I desire to discuss the continuity of $g$. First of all we remember that $\Bbb{R}^n$ is a topological vector space thus the vector sum $s$ is continuous. So we define the function $\phi:X\times X\rightarrow\Bbb{R}^n\times\Bbb{R}^n$ through the condiction $$ \phi(x,y):=\big(f(x),-f(y)\big) $$ for any $x,y\in X$ and so we observe that $g\equiv ||\cdot||\circ s\circ\phi$. So we remember that the norm $||\cdot||$ is continuous (here the proof) thus if we prove that $\phi$ is too continuous then $g$ will be continuous, since the composition of continuous functions is too continuous. So let's start to prove the continuity of $\phi$. Clearly for the associativity of product topology $\Bbb{R}^n\times\Bbb{R}^n$ is homeomorphic to $\Bbb{R}^{2n}$ and so for $i=1,...,2n$ we can define $\pi_i\circ\phi$. So we observe that $$ \pi_i\circ\phi=\begin{cases}f_i,\text{ if }i\le n\\ -f_i,\text{ otherwise}\end{cases} $$ and so for the universal mapping theorem for products we can claim that $\phi$ is continuous and so the statement holds. So is what here I observed correct?
Could someone help me, please?
