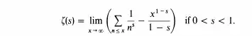
In Apostol's "Introduction to Analytic Number Theory", there is a definition for the Riemann Zeta Function for $0<s<1$.
Is there a justification for this formula?
In Apostol's "Introduction to Analytic Number Theory", there is a definition for the Riemann Zeta Function for $0<s<1$.
Is there a justification for this formula?