After thinking about this for some time after today's lecture, I believe the answer to your question is "yes" and I'll attempt to give a detailed proof (which might be a bit long for a post, but here we go).
Let $M$ be any $\mathbb C$-scheme and $h^M=\operatorname{Hom}_{\mathrm{Sch}/\mathbb C}(-,M)$ its represented functor. Let $\eta\colon \operatorname{Pic}_{\mathbb A^1/\mathbb C}\rightarrow h^M$ be any natural transformation; we must show that $\eta_X\colon \operatorname{Pic}_{\mathbb A^1/\mathbb C}(X)\rightarrow h^M(X)$ has image a single point for all $\mathbb C$-schemes $X$.
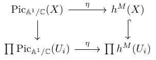
Step 0. We reduce to the case where $X$ is affine. Consider any affine open cover $X=\bigcup U_i$ and the commutative diagram

The right vertical morphism is injective because $h^M$ is a Zariski-sheaf. Thus it suffices to show that each $\eta_{U_i}\colon \operatorname{Pic}_{\mathbb A^1/\mathbb C}(U_i)\rightarrow h^M(U_i)$ has image a single point.
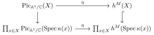
Step 1. We do the case where $X$ is reduced (and affine). For a point $x\in X$ let $\kappa(x)$ denote its residue field. We first claim that $h^M(X)\rightarrow \prod_{x\in X} h^M(\operatorname{Spec}\kappa(x))$ is injective again. After passing to an affine cover of $X$ that is mapped into an affine cover of $M$ and using some simple arguments as in Step 0, this boils down to the following question: Let $A$ be a reduced ring and $f,g\colon B\rightarrow A$ two ring morphisms that agree after composition with $A\rightarrow \kappa(\mathfrak p)$ for all $\mathfrak p\in \operatorname{Spec} A$. Then $f=g$. Indeed, the difference $f-g$ must have image contained in $\bigcap_{\mathfrak p\in \operatorname{Spec} A}\mathfrak p=0$ since $A$ is reduced.
Now consider the diagram

and observe that the bottom left product is a single point because both $\operatorname{Pic}(\operatorname{Spec} \kappa(x)[t])$ and $\operatorname{Pic}(\operatorname{Spec} \kappa(x))$ are trivial for all $x\in X$ (since line bundles over a UFD are trivial). So injectivity of the right vertical arrow does the trick.
Step 2. We do the case where $X$ is noetherian (and affine). To this end we claim $\operatorname{Pic}(X)\cong \operatorname{Pic}(X^{\mathrm{red}})$ for every affine noetherian scheme $X$, which immediately reduces everything to Step 1 [Edit: Turns out it doesn't, but fortunately Nuno has found a beautiful fix.] (this also uses $(X\times \mathbb A^1)^{\mathrm{red}}\cong X^{\mathrm{red}}\times\mathbb A^1$ which follows from a simple inspection). To prove the claim, let $\mathcal J$ be the coherent sheaf on $X$ cutting out its reduction $X^{\mathrm{red}}$. Since $X$ is noetherian, $\mathcal J^n=0$ for some $n$. Doing induction on $n$ we may assume $\mathcal J^2=0$. Now consider the short exact sequence $$1\longrightarrow (1+\mathcal J)\longrightarrow \mathcal O_X^\times \longrightarrow \mathcal O_{X^{\mathrm{red}}}^\times\longrightarrow 1$$ of multiplicative sheaves on $X$ (or rather its underlying topological space, which is the same as of $X^{\mathrm{red}}$). Using $\mathcal J^2=0$, it's straightforward to check that $1+\mathcal J$ is isomorphic to $\mathcal J$ (as an additive sheaf of abelian groups on $X$). Since $X$ is affine, $H^1(X,\mathcal J)=0=H^2(X,\mathcal J)$, so the long exact cohomology sequence provides the desired isomorphism $\operatorname{Pic}(X)\cong H^1(X,\mathcal O_X^\times)\cong H^1(X^{\mathrm{red}}, \mathcal O_{X^{\mathrm{red}}}^\times)\cong \operatorname{Pic}(X^{\mathrm{red}})$.
Step 3. We consider general affine $\mathbb C$-schemes $X$. Write $X=\lim X_\alpha$ as a cofiltered limit of noetherian affine $\mathbb C$-schemes $X_\alpha$ with affine transition maps. Using [Stacks project, Tag 01ZR & Tag 0B8W], one obtains $\operatorname{Pic}(X)\cong\operatorname{colim}\operatorname{Pic}(X_\alpha)$. The same holds for $X\times \mathbb A^1\cong \lim(X_\alpha\times\mathbb A^1)$, so actually $\operatorname{Pic}_{\mathbb A^1/\mathbb C}(X)\cong\operatorname{colim}\operatorname{Pic}_{\mathbb A^1/\mathbb C}(X_\alpha)$. Now every $\eta_{X_\alpha}\colon \operatorname{Pic}_{\mathbb A^1/\mathbb C}(X_\alpha)\rightarrow h^M(X_\alpha)\rightarrow h^M(X)$ has image a single point by Step 2, hence the same must be true for $\eta_X$ by the fact that the colimit in question is filtered. This finishes the proof.
I believe the argument in Step 3 can also be used (with some care) to show $\operatorname{Pic}(X)\cong \operatorname{Pic}(X^{\mathrm{red}})$ for arbitrary affine schemes, which would give an alternative to Step 3.