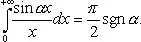
I have the following integral

and I need to find maximum integer $\alpha$ for which the integral converges.
I think that I need to reduce this integral to the Dirichlet integral

with some special substitution. I've tried different variants of them, but this leads me to the cumbersome calculations.
Can somebody help me to reduce the integral to the Dirichlet form?
Or should I solve this problem in completely different way?