1

There have been a number of proofs for this, such as:

How to prove Vandermonde's Identity: $\sum_{k=0}^{n}\binom{R}{k}\binom{M}{n-k}=\binom{R+M}{n}$?, and

Vandermonde's Identity: How to find a closed formula for the given summation.

However, they involve a lot of hand-waving or "consider a K-by-K matrix.. or "Suppose a committee consists of m men and n women". I'm looking for a good solid step-by-step proof:

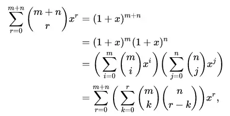
The best one I've found comes from this's Algebraic Proof: enter image description here

where in line 1, the binomial theorem is applied.

From lines 1 to 2, it's just a factoring of exponents.

From line 2 to 3, it's an application of the binomial theorem on each factor term.

From line 3 to 4 however, I'm looking for some missing (assumed obvious) steps. They'll probably be a set of change of variables such as $\textrm{let } j=r-i$ then a new equation, then maybe another change of variables.

Can someone please provide step-by-step equations from line 3 to line 4?

RVC
  • 407
  • 3
  • 12
  • the last step aims at finding the coefficient of $x^r$ in $(1+x)^{m+n}$. Try noting down what the step actually means in a notebook, you'll see that the coefficient is nothing but the term you started the question with. – ibuprofen Feb 16 '20 at 13:57
  • I understand the last step, thank you. What i'm wondering about are the steps between the 2nd-to-the-last step and the last step. There's obviously a change of variables, but i can't quite figure it out. – RVC Feb 16 '20 at 14:01

3 Answers3

3

A step-by-step derivation: We obtain \begin{align*} \color{blue}{\left(\sum_{i=0}^m\right.}&\color{blue}{\left.\binom{m}{i}x^i\right)\left(\sum_{j=0}^n\binom{n}{j}x^j\right)}\\ &=\sum_{i=0}^m\sum_{j=0}^n\binom{m}{i}\binom{n}{j}x^{i+j}\tag{1}\\ &=\sum_{r=0}^{m+n}\sum_{{i+j=r}\atop{i,j\geq 0}}\binom{m}{i}\binom{n}{j}x^r\tag{2}\\ &\,\,\color{blue}{=\sum_{r=0}^{m+n}\left(\sum_{i=0}^r\binom{m}{i}\binom{n}{r-i}\right)x^r}\tag{3} \end{align*}

Comment:

  • In (1) we multiply out and collect the $x$-terms.

  • In (2) we rearrange the terms by increasing powers of $x$.

  • In (3) we substitute $j=r-i$ eliminating $j$ this way.

Markus Scheuer
  • 112,413
2

Simple rearranging gives \begin{equation}\begin{aligned} \sum_{i=0}^m\begin{pmatrix}m\\i\end{pmatrix}x^i\sum_{j=0}^n\begin{pmatrix}n\\j\end{pmatrix}x^j&=\sum_{i=0}^m\sum_{j=0}^n\begin{pmatrix}m\\i\end{pmatrix}\begin{pmatrix}n\\j\end{pmatrix}x^{i+j}. \end{aligned}\end{equation} The trick is to then swap the sum over $i$ and $j$ for a sum over $r=i+j$ and $i$. \begin{equation}\begin{aligned} \sum_{i=0}^m\begin{pmatrix}m\\i\end{pmatrix}x^i\sum_{j=0}^n\begin{pmatrix}n\\j\end{pmatrix}x^j&=\sum_{r=0}^{m+n}\,\sum_{i=0}^{\min(m, r)}\begin{pmatrix}m\\i\end{pmatrix}\begin{pmatrix}n\\r-i\end{pmatrix}x^{r}. \end{aligned}\end{equation} Finally, we use that $\begin{pmatrix}a\\b\end{pmatrix} = 0$ for $b>a$ to extend the sum over $i$ from $\min(m, r)$ to $r$. \begin{equation}\begin{aligned} \sum_{i=0}^m\begin{pmatrix}m\\i\end{pmatrix}x^i\sum_{j=0}^n\begin{pmatrix}n\\j\end{pmatrix}x^j&=\sum_{r=0}^{m+n}\,\sum_{i=0}^r\begin{pmatrix}m\\i\end{pmatrix}\begin{pmatrix}n\\r-i\end{pmatrix}x^{r}. \end{aligned}\end{equation}

Alec Barns-Graham
  • 1,305
  • 6
  • 12
  • Thank you. I can see that you made the substitution $i+j=r$ and therefore $j=r-i$. But the change from $m$ to $m+n$ and $n$ to $\min(m,r)$ is too fast for me. Can you explain this further, pls, other than "the trick is to swap the sum over $i$ and $j$ for a sum over..." But thank you very much for your answer. I feel like it's almost there.... – RVC Feb 16 '20 at 14:05
  • Sure, so do you understand that $r$ ranges from 0 to $m+n$? – Alec Barns-Graham Feb 16 '20 at 14:12
  • 2
    Oh, ok, I get it. Since $i$ goes from 0 to m, and $j$ goes from 0 to $n$, then $r$ must go from 0 to $m+n$. ( because $r= i+j$). And $i$ must go from 0 to r (because $i=r-j$. Thank you. Will accept this... – RVC Feb 16 '20 at 14:13
0

Both linked questions have an answer expressing that the formula in your title is for all practical purposes obvious. At any rate, a proof does not require calculations unpacking the expressions appearing in this formula. Just select $r$ people from a set of $m$ men and $n$ women.