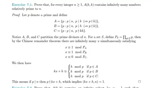
While trying exercises from Apostol introduction to Analytic number theory I am struck on this problem of chapter -Dirichlet theorem on primes in Arithmetic Progression.
I am adding its image

Fortunately I could find its solution on internet but I have one doubt in its solution.
Image of solution->

I have following doubt in its solution -> I have studied Chinese remainder theorem from Apostol and it is used to determine whether solution exists and then solution is proved to be unique.
But how does here Chinese reminder theorem is used to prove existence of infinitely many solutions?
Can someone please explain how Chinese reminder theorem implies here that infinitely many solutions exist