
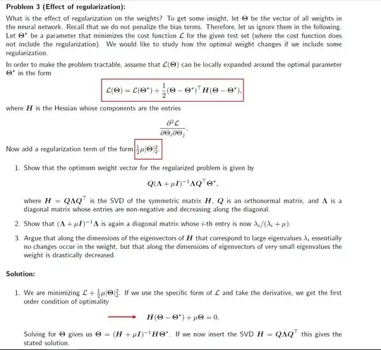
The image shows the whole exercise for context, but my question is about the derivative (the red arrow). I think I get a bit confused when dealing with matrices and I have trouble seeing how to get the result, more specifically the H(theta-theta*).
I tried to look at the matrix calculus Wikipedia page to see if any of the identities could help but I’m still confused!
Any resources suggestions to understand how to handle derivatives with matrices are welcome!
Many thanks!