According to Harmonic number - Wikipedia,
$$
\gamma = \lim_{n\to\infty}
\left(H_n - \ln\left(n + \frac12\right)\right)
$$
converges more quickly than
$$
\gamma = \lim_{n\to\infty}(H_n - \ln(n)).
$$
Indeed, in the present case,
$$
e^{4 - \gamma} - \frac12 \bumpeq 30.154649
$$
zeroes in on the answer pretty well.
Harmonic Number -- from Wolfram MathWorld
gives more detail:
$$
\frac1{24(n+1)^2} <
H_n - \ln\left(n + \frac12\right) - \gamma
< \frac1{24n^2}.
$$
These inequalities suffice to determine $n$ exactly, because
\begin{align*}
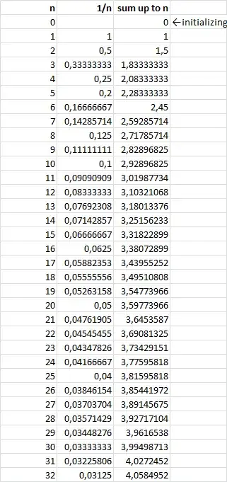
H_{30} & < \ln\left(30 + \frac12\right) + \gamma + \frac1{21600}
\bumpeq 3.994989, \\
H_{31} & > \ln\left(31 + \frac12\right) + \gamma + \frac1{24576}
\bumpeq 4.027244,
\end{align*}
whence $n = 31.$
The references given in the MathWorld article are:
DeTemple, D. W. "The Non-Integer Property of Sums of Reciprocals of Consecutive Integers." Math. Gaz. 75, 193-194, 1991.
Havil, J. Gamma: Exploring Euler's Constant. Princeton, NJ: Princeton University Press, 2003.
See also:
- Duane W. DeTemple, "A Quicker Convergence to Euler's Constant",
Amer. Math. Monthly, 100, No. 5 (May, 1993), pp. 468-470.
Addendum
There are other inequalities that can be used to determine $n$ exactly.
Some are discussed in these books and papers:
B. Berndt, Ramanujan's Notebooks, Volume 5, Springer, New York, 1998.
T. J. l'A. Bromwich, An Introduction to the Theory of Infinite Series,
Chelsea, New York, 1991.
E. Cesàro, "Sur la serie harmonique", Nouv. Ann. (3) IV (1885), 295-296.
A. Lodge, "An approximate expression for the value of
$1+\frac12+\frac13+\cdots+\frac1r$",
Messenger of Mathematics 30 (1904), 103-107.
Mark B. Villarino, "Ramanujan's Approximation to the $n$th Partial
Sum of the Harmonic Series" (2004),
arXiv:math/0402354 [math.CA].
The simplest of these results is Villarino's Corollary 3, which is
originally due to Cesàro ("By the way, this was two years before
Ramanujan was born!"), and is given as exercise no. 18 on page 460
of Bromwich's book:
$$
H_n = \frac12\ln(2m) + \gamma + \frac{c_n}{12m},
\text{ where } m = \frac{n(n+1)}2
\text{ and } 0 < c_n < 1.
$$
This gives:
\begin{align*}
H_{30} & < 3.99498717, \\
H_{31} & > 4.02707722.
\end{align*}
For comparison, the exact values are:
\begin{align*}
H_{30} = 4 \times \frac{9304682830147}{9316358251200}
& \bumpeq 3.99498713, \\
H_{31} = 4 \times \frac{290774257297357}{288807105787200}
& \bumpeq 4.02724520.
\end{align*}
Let $n$ be the smallest positive integer such that $$ 1+\frac12+\frac13+\cdots+\frac1n\geq4. $$ Which one of the following statements is true? A) $20<n\leq60$ B) $60<n\leq80$ C) $80<n\leq100$ D) $100<n\leq120$.
See Harmonic series sum approximation
- of which the present question is, sadly, a duplicate.
– Calum Gilhooley Dec 11 '19 at 19:50