Hey! I need some help with this task!
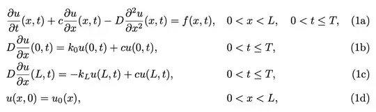
Task: Derive variational formulation, finite element formulation, and time-marching scheme for problems (1a) - (1d).
Where should I start or how do I solve this??
Thanks in beforehand!
Hey! I need some help with this task!
Task: Derive variational formulation, finite element formulation, and time-marching scheme for problems (1a) - (1d).
Where should I start or how do I solve this??
Thanks in beforehand!