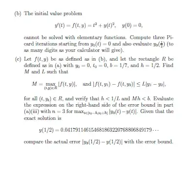
Please note I have solved parts a and b, I have also calculated the value of $L$ using the formula given, however I don't know how to calculate for $M$. It says $\max|f(t,y)|$ so am I supposed to use $y(t)=y_o+f(t_o,y_o)\,(t-t_o)$? I used that but then $y(t)$ will be $0$ and therefore $\max|f(t,y)|$ will become only $t^2$. The value of $t$ which I got while calculating $L$ is $1.03393$ and using that $h<1/L$ condition is satisfied, however $Mh<b$ condition is not being satisfied.
Can someone help me on this? Any help will be greatly appreciated.
