3

In this thread, I have asked about a way to calculate the coefficients of the power series for $\cos(\sin(x))$ What is wrong with my series expansion of $\cos(\sin(x))$

I received a reply from Willie Wong, in which he gives a rather terse formula for my calculation. I fail to grasp it since it is written in compact sigma notation so I need you to help me to understand a few points.

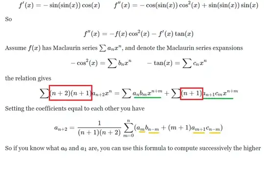
The relevant part is included in this image:

enter image description here

Firstly, I don't understand the red part $(n+1)(n+2)$ (in red underlined), is this the result from differentiation?

In the yellow underlined, I don't understand why he changes the subscript.

Could you please use this formula to calculate the first few terms for the series of $\cos(\sin(x))$. If possible, can you explain and rewrite the formula in more explicit forms the sigma notation, since I am still not used to compact notation.

Finally, is there a simpler method to derive the coefficients for this function's series?

  • 1
    For the first red box think about what happens when you differentiate a power series twice. You have terms $n(n-1)a_nx^{n-2}$ which now start at $n=2$ since the $n=0,1$ terms are lost in differentiation. Now shift the summation index to start at zero which means you must add two everywhere you see $n$ in the summand which gives the first red box. – Aaron Hendrickson Nov 28 '19 at 23:43
  • @AaronHendrickson: Can you rewrite the formula in more explicit terms and calculate the first few terms using this formula? – James Warthington Nov 28 '19 at 23:47
  • I don't know how to apply this formula since there are two subscript m and n. I don't know where to start. – James Warthington Nov 28 '19 at 23:47
  • 1
    The two terms on the RHS underlined in green are double sums. They are the product of two series and they are re-indexed to get the correct power of $x$. – Donald Splutterwit Nov 28 '19 at 23:52
  • So how can one use such a formula to calculate the first few terms of the series for $\cos(\sin(x))$. There are 2 subscripts with which I don't know where to start. – James Warthington Nov 28 '19 at 23:57
  • @JamesWarthington I would but don't have access to a computer! Do you know how to find $a_0$ and $a_1$? That is all you need to then compute higher $a_n$ using the very last formula. The series for $f$ is $f(x)=a_0+a_1x+a_2x^2+\cdots$ – Aaron Hendrickson Nov 29 '19 at 00:03
  • Compute 'Series[Cos[Sin[x]],{x,0,5}]' with the Wolfram|Alpha website (https://www.wolframalpha.com/input/?i=Series%5BCos%5BSin%5Bx%5D%5D%2C%7Bx%2C0%2C5%7D%5D) or mobile app (wolframalpha:///?i=Series%5BCos%5BSin%5Bx%5D%5D%2C%7Bx%2C0%2C5%7D%5D). – Aaron Hendrickson Nov 29 '19 at 00:11
  • @AaronHendrickson: How do you which $n$ and $m$ to choose? – James Warthington Nov 29 '19 at 00:26
  • @JamesWarthington Here is formula for $b_n$ https://www.wolframalpha.com/input/?i=SeriesCoefficient%5B-Cos%5Bx%5D%5E2%2C+%7Bx%2C+0%2C+n%7D%5D – Aaron Hendrickson Nov 29 '19 at 00:50
  • @JamesWarthington Here it is for $c_n$ https://www.wolframalpha.com/input/?i=SeriesCoefficient%5B-Tan%5Bx%5D%2C+%7Bx%2C+0%2C+n%7D%5D – Aaron Hendrickson Nov 29 '19 at 00:51
  • @JamesWarthington You pick the value of $n$, $m$ is the summation index in your recurrence formula. Also, you can see now what $a_0$ and $a_1$ are from the answer by Donlad S. – Aaron Hendrickson Nov 29 '19 at 00:52

2 Answers2

5

We have \begin{eqnarray*} f''(x)=-f(x) \cos^2(x) -f'(x) \tan(x). \end{eqnarray*} The first few terms of $-\cos^2(x)$ are \begin{eqnarray*} -\cos^2(x) = -1+ x^2+ b_4 x^4 + \cdots \end{eqnarray*} and further terms can be calculated by squaring the power series for $ \cos(x)$.

The first few terms of $-\tan(x)$ are \begin{eqnarray*} -\tan(x) = -x+ \frac{1}{3} x^3+ c_5 x^5 + \cdots \end{eqnarray*} and further terms can found in equation $(32)$ here ... http://mathworld.wolfram.com/Tangent.html

We want to calculate $f(x)$ and we shall need its first & second derivatives \begin{eqnarray*} f(x)&=&1+a_2 x^2 +a_4 x^4+ \cdots \\ f'(x)&=&2a_2 x +4a_4 x^3+ \cdots \\ f''(x)&=&2a_2 +12a_4 x^2+ \cdots. \\ \end{eqnarray*} You see where the terms in the red boxes come from now ?

Plugging all these into the first equation gives \begin{eqnarray*} 2a_2 +12a_4 x^2+ \cdots = \left( a_0+a_2 x^2 +a_4 x^4+ \cdots \right) \left( -1+ x^2+ b_4 x^4 + \cdots \right)+ \left( 2a_2 x +4a_4 x^3+ \cdots \right) \left( -x+ \frac{1}{3} x^3+ c_5 x^5 + \cdots \right) \end{eqnarray*} Now just expand the brackets and equate coefficients of $x$.

We have \begin{eqnarray*} \cos(\sin(x))=1 -\frac{x^2}{2} +\frac{5x^4}{24}+\cdots. \end{eqnarray*}

Edit : Equating the $x^0$ terms (i.e constant terms) gives \begin{eqnarray*} 2a_2=-a_0 \\ a_2= -\frac{1}{2} \end{eqnarray*} Now collect all the $x^2$ terms and we have \begin{eqnarray*} 12a_4=a_0 -a_2 -2a_2 \\ a_4= \frac{5}{24}. \end{eqnarray*} You will need to include higher order terms if you wish to calculate the next order ... Good luck $ \ddot \smile$

  • So do how I equate the coefficients? You are so close to unravel this problem. – James Warthington Nov 29 '19 at 01:07
  • So I multiply the coefficient of $\tan(x)$ with $\cos^{2}x$ and with the first derivative of $\cos(\sin(x))$, and equate those with the coefficients of the second derivative, right? – James Warthington Nov 29 '19 at 01:12
  • Thank you for your detailed answer, but what the terms of $cos^{2}(x)$ and $-tan(x)$, I thought you have to equate them as well? – James Warthington Nov 29 '19 at 01:31
  • The next few terms can be found here ... https://oeis.org/A003709 – Donald Splutterwit Nov 29 '19 at 01:39
  • No I know that, I have in my hand the series of $cos^2(x)$ since I expanded them before. I just wonder when you start equating the coefficients from the right hand side with the left hand side, you will need to equate terms of $tan(x)$ and $cos^2(x)$ as well. In your answer, you only equate the term of the second derivative with $f(x)$ only, so I wonder where are the terms for $tan(x)$ and $cos^2(x)$? – James Warthington Nov 29 '19 at 01:50
  • Multiply out the first two bracket in the RHS and collect the $x^2$ terms. – Donald Splutterwit Nov 29 '19 at 01:58
  • 1
    Ok, I see, thank you so much for helping me Donald. Good night! – James Warthington Nov 29 '19 at 02:11
0

At the web site https://math.stackexchange.com/a/4658606, it was obtained that \begin{equation*} \cos(\sin x)=1+\sum_{n=1}^\infty(-1)^n2^{2n} \Biggl[\sum_{k=1}^{n} \frac{1}{(4k)!!} \sum_{q=0}^{2k}(-1)^q\binom{2k}{q}(q-k)^{2n}\Biggr]\frac{x^{2n}}{(2n)!}. \end{equation*}

qifeng618
  • 2,218