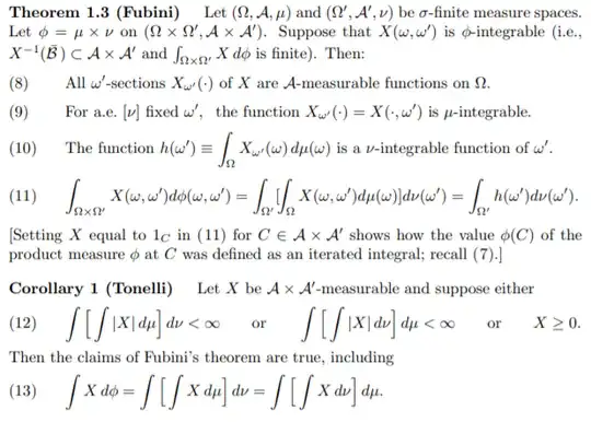
I've been introduced to the Fubini-Tonelli theorems in my probability/measure theory class in the following way:

or if you want a similar looking pdf: https://www.cmi.ac.in/~prateek/measure_theory/2010-10-06.pdf. Notice that all the integrals in the image and the pdf are w.r.t. measures like $\mu, \nu$ and NOT variables like $t,x,y$.
Question setup: Now, looking at the answer to the following question: Intuitive explanation for $\mathbb{E}X= \int_0^\infty 1-F(x) \, dx$, one of the integrals is $dP$ (a probability measure) and one is $dt$, which is not a measure. This makes me uncomfortable because then it doesn't "look like" we can use the above versions of Fubini/Tonelli on it, because the connotation of $dt$ is Riemann integration and not Lebesgue integration.
Question: can we change the $dt$ integral to be something like $d\lambda$ (where $\lambda$ denotes Lebesgue measure)? When are we sure we can interchange between $dt$ (or $dx$ or $dy$) integrals with integrals w.r.t measures like $\lambda$, especially in these infinite cases?
The reason I specify the infinite case (and the one in the linked question in particular, which is special because the inside function, $f(x) = P(X<x)$, is a monotonically decreasing bounded function) is because I know for the bounded, interval case, we have: General condition that Riemann and Lebesgue integrals are the same.
Basically, can someone tell me how to get the $dt,dx,dy$ integrals into the measure theoretic form, and the criterion for knowing when I can do this interchange or not?
I get that this may be a simple misunderstanding of notation on my part, so if that's the case I hope someone can explain the correct way of interpreting this notation.