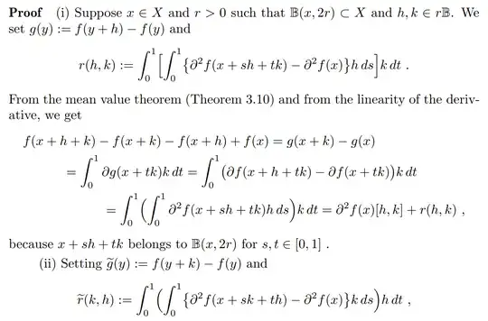
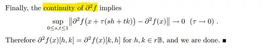
I'm reading the proof that continuous second derivative is symmetric
In the proof below, the authors utilize the continuity of $\partial^2 f$, but from this question, I got that we do not need the continuity of $\partial^2 f$.
My question: How to modify the below proof to the case $\partial^2 f$ is not continuous? Thank you so much for your help!



