0

Say I have a $ 2 \times 2$ matrix as $A$ and a $2 \times 1$ vector as $X$. I want the derivative of the matrix product with represent to $A$:

Let $y= \begin{bmatrix} a & b\\ c & d \end{bmatrix} \begin{bmatrix} x_1\\ x_2 \end{bmatrix}$

Then what is $\frac{dy}{dA}$?

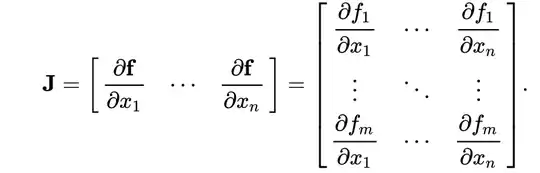
According to the standard definition of Jacobian enter image description here

I should be getting a $ 2 \times 4$ matrix where columns are $a,b,c,d$ but this does not agree with the material I am reading. Is the transpose involved in any of this?

Majid
  • 3,401

4 Answers4

2

Note that $A\mapsto Ax$ is linear, so everything is trivial.

If you really want to write the Jacobian in coordinates, it's $$ J=\begin{pmatrix} x1 & x2& 0& 0\\ 0& 0&x1&x2 \end{pmatrix} $$ because, as you may check yourself, we have $$ Jvec(B)= Bx $$ for any matrix $B\in\mathbb{R}^{2,2}$ with vectorization $vec({B})\in\mathbb{R}^4$

Bananach
  • 8,332
  • 3
  • 32
  • 53
2

Begin with the equation and it differential. $$\eqalign{y &= A\cdot x \\ dy &= dA\cdot x}$$ One method to calculate the derivative is to flatten the matrix term using vectorization. $$\eqalign{ dy &= (x^T\otimes I)\cdot da \\ \frac{\partial y}{\partial a} &= (x^T\otimes I) }$$ Another approach is to employ index notation (and Einstein's convention) $$\eqalign{ dy_i &= dA_{ij}\,x_j \\ \frac{\partial y_i}{\partial A_{mn}} &= \bigg(\frac{\partial A_{ij}}{\partial A_{mn}}\bigg)\,x_j = \big(\delta_{im}\delta_{jn}\big)\,x_j = \delta_{im}\,x_n \\ }$$ Yet another idea is to define an isotropic fourth-order tensor as the dyadic product $(\star)$ of two identity matrices $\,({\cal E}=I\!\star\!I)\,$ and dispense with the indices altogether. $$\eqalign{ dy &= dA\cdot x &= ({\cal E}\cdot x):dA \\ \frac{\partial y}{\partial A} &= {\cal E}\cdot x &= I \star x \\ }$$

greg
  • 40,033
1

Remember that matrix calculus can always be re-expressed in non-matrix form by performing the appropriate multiplications. Then you can take the derivatives. This simplified your life a lot (and the overall comprehension) in cases like this one.

Consider that “taking the derivative with respect to a matrix” means de facto taking the derivatives of that expression with respect to each element of the matrix. In this case, you want to derivate $Ax$ by each element of A. Which is trivial if you write down the result of the product $Ax$ and derivate with respect to each of the 4 elements of A. This source can help you understand a little bit better as well as the bottom of page 10 of this matrix cookbook

Fr1
  • 187
0

The Jacobian, the way you wrote it, really only works after vectorizing w.r.t. the components of $A$. More generally, given a function $f\colon X\to Y$, you can think of the derivative as a $(\operatorname{rank} Y, \operatorname{rank} X)$-tensor, which allows one to keep the matrix structure of the input here.

In this case, since the input is a matrix, i.e. a rank-$2$ tensor, and the output is a vector, i.e. a rank-$1$ tensor, you can think of $dy/dA$ the (1, 2) tensor with components

$$\Big(\frac{\rm d y}{\rm d A}\Big)^k_{ij}=\frac{\partial y_k}{\partial A_{ij}} \leadsto D = \frac{\rm d y}{\rm d A} = \begin{bmatrix} \begin{bmatrix} x_1 & x_2 \\ 0& 0\end{bmatrix}, \begin{bmatrix}0& 0 \\ x_1 & x_2\end{bmatrix}\end{bmatrix}$$

This tensor encodes a linear map given by the corresponding tensor contraction

$$D\cdot X = \sum_{ij} D^{k}_{ij} X^{ij}$$

In particular, note that for $f(A)=Ax$ we have the first order Taylor expansion

$$ T_f^{(1)}(A) = f(0) + Df(0)\cdot A =\begin{bmatrix}0 \\ 0\end{bmatrix}+ \begin{bmatrix}A_{11}x_1 + A_{12}x_2 \\ A_{21}x_1 + A_{22}x_2\end{bmatrix} = f(A)$$

I.e. the function is in fact equal to its first order Taylor expansion, as expected, since it's a linear function.

Hyperplane
  • 12,204
  • 1
  • 22
  • 52