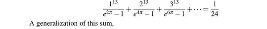
I want to prove this ,but nothing’s came up in my mind
Could Anyone give me a hint or a solution please .i saw another sum looks like this and was solved by hypergeometric function and Residue .i think it’s related to hyperbolic function since it’s e in the denominator.
Asked
Active
Viewed 250 times
2
Unik Sillavich
- 377
-
This has been discussed for the general case in this post. – Tito Piezas III Jun 25 '19 at 10:37
1 Answers
0
Do you know Eisenstein series ? $$E_{2k}(z) = 1+ c_{2k} \sum_{m=1}^\infty \frac{m^{2k-1}}{e^{-2i \pi m z}-1} = 1+ c_{2k}\sum_{m=1}^\infty m^{2k-1} \sum_{l=1}^\infty e^{2i \pi ml z} = 1+ c_{2k} \sum_{n=1}^\infty \sigma_{2k-1}(n)e^{2i \pi nz}$$
With $c_{2k} = \frac{2}{\zeta(1-2k)}=- \frac{4k}{B_{2k}}$ it satisfies $$E_{2k}(z) = z^{-2k} E_{2k}(-1/z)$$
For $k$ odd then $$E_{2k}(i) = i^{-2k} E_{2k}(-1/i)= -E_{2k}(i) \implies E_{2k}(i)=0$$
$$ \implies \sum_{m=1}^\infty \frac{m^{2k-1}}{e^{2 \pi m }-1} = \frac{-1}{c_{2k}}$$
reuns
- 79,880