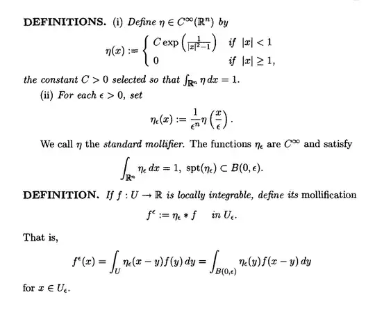
here my question is what is mean by $f^{\epsilon}:=\eta_{\epsilon}*f$ in $U_{\epsilon}$
and how can we change form $U$ to $B(0,\epsilon)$
in the molification definition and what is use convolution in sobolev spaces
and how can we prove that $\int \eta(x)\,dx = 1$
is that convulutions is well defined
