$$\int \sin^4(t)\cos^3(t)dt = \int \sin^4(t)(1-\sin^2(t))\cos(t) dt $$
$$u = \sin(t) \\ du = \cos(t)dt$$
$$ \int \sin^4(t)\cos^3(t)dt = \int u^4(1-u^2) du \\ = u^4 - u^6 = \frac{1}{5}u^5 - \frac{1}{7}u^7 + C \\ = \frac{1}{5}\sin^5(t) - \frac{1}{7}\sin^7(t) + C $$
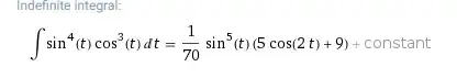
This seems like a simple enough trig substitution integral problem to me. However, when I check my answer with wolphram alpha, it gives:

This looks like a simplified version of my answer, but it is not entirely clear to me how it gets reduced down. The furthest I can get is this:
$$ \frac{1}{5}\sin^5(t) - \frac{1}{7}\sin^7(t) = \sin^5(t) \bigg( \frac{1}{5} - \frac{1}{7} sin^2(t) \bigg) \\ = \frac{1}{5}\sin^5(t) \bigg(\frac{1}{5} - \frac{1}{7} \cdot \frac{1}{2} (1 - \cos 2x) \bigg) \\ = \frac{1}{5}\sin^5(t) \bigg(\frac{1}{5} - \frac{1}{14} - \frac{1}{14}\cos 2x\bigg) \\ = \frac{1}{5}\sin^5(t) \bigg(\frac{14}{90} - \frac{5}{90} - \frac{5}{90} \cos 2x \bigg)$$
and I feel like my simplification is not really going anywhere meaningful...