8

I've been trying to find a representation of the braid group $B_3$ acting on $\mathbb{C}^2 \otimes \mathbb{C}^2 \otimes \mathbb{C}^2$ but I can't find it anywhere.

From what I understand I have to find two $8 \times 8$ matrices $\sigma_i$ satisfying $\sigma_1 \sigma_2 \sigma_1 = \sigma_2 \sigma_1 \sigma_2$. I tried doing it by hand but it proved to be harder than anticipated. Is there any known solution to this?

Thanks!

Juan Ospina
  • 2,257
GKiu
  • 363
  • What book are you using? – Daniel Donnelly Feb 03 '19 at 01:41
  • 1
    By now I've looked into a mixture of readable books and papers I could find (I'm a physicists, the majority of the hardcore mathematical literature is unreadable to me). Do you have some good suggestion? – GKiu Feb 03 '19 at 11:13
  • 1
    There is a homomorphism $B_3 \to S_3$, the symmetric group on 3 letters, and if $V$ is a vector space then $S_3$ acts on $V \otimes V \otimes V$, acting on simple tensors by permuting the factors: eg $(123) \cdot a \otimes b \otimes c = c \otimes a \otimes b$. This gives a representation of $B_3$ using the above homomorphism. If you don't want any non-trivial elements of $B_3$ to give the identity matrix, you want to ask that your representation is "faithful". –  Feb 03 '19 at 14:10
  • Thank you for your answer, and for putting it in simple terms. I understand how $S_3$ would act on the three letters, but how would $\mathbb{C}^2$ be incorporated in this? – GKiu Feb 03 '19 at 19:03
  • 1
    It is a vector space and is otherwise irrelevant. You could replace it with $\Bbb R$. (This is why I think you should probably give some details about what you want to demand of this representation: I suspect this is not what you want.) –  Feb 03 '19 at 20:02
  • 1
    If you wanted the individual factors to matter you could also use the projection suggested by @Mike and take the $2$-dimensional irreducible rep for $S_3$, then tensor that with itself twice. But once again, it is not clear if this would really be the sort of thing you are looking for. – Tobias Kildetoft Feb 03 '19 at 21:27
  • Nobody's posted a good source for the user... – Daniel Donnelly Feb 03 '19 at 21:55

4 Answers4

9

I'm going to make a guess that the motivation for your question is representations of $B_n$ that commute with representations of "quantum $\mathfrak{sl}(2)$." In this case, $\mathbb{C}^2$ would be the two-dimensional irreducible representation of $U_q(\mathfrak{sl}(2))$, known as $V_1$ since it is the highest-weight $1$ representation.

One may conceptualize this as looking for maps from $B_n$ to the space of endomorphisms of $(\mathbb{C}^2)^{\otimes n}$ that commute with the $\mathcal{U}_q(\mathfrak{sl}(2))$-action, where this quantum group is acting on each $\mathbb{C}^2$ factor simultaneously. That is, maps $B_n\to \operatorname{End}_{\mathcal{U}_q(\mathfrak{sl}(2))}(V_1^{\otimes n})$.

The $q=1$ case is the representation Mike Miller came up with: $B_3$ acts on $V_1^{\otimes 3}$ by permuting the tensor factors via the $B_3\to S_3$ homomorphism, and this intertwines with $(v_1\otimes v_2\otimes v_3) x=xv_1\otimes x v_2\otimes x v_3$ for $x\in\mathfrak{sl}(2)$, where $xv_i$ is simply the matrix-vector product.

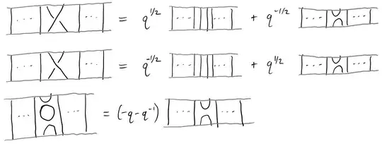
More generally, we need to know the "$R$-matrix" for how a two-strand twist of $B_3$ corresponds to a homomorphism $V_1\otimes V_1\to V_1\otimes V_1$. The earlier conceptualization leads us to the Temperley-Lieb algebra, which for our purposes we will take $q\in\mathbb{C}^\times$ and then take $\mathbb{C}[B_n]$ and quotient it by (i.e., impose) the following relations:

Relations on braid group algebra to form Temperley-Lieb algebra

One can check that these satisfy the relations for $B_n$, and so this is a well-defined quotient. So: given a braid in $B_n$, one may resolve all crossings and expand the word into a linear combination of crossing-free Temperley-Lieb diagrams. For $B_3$, every braid reduces to a linear combination of the following five diagrams:

TL3 basis

At this point, we can make a representation by deciding what "cups" and "caps" should be. According to some notes I have, the following choice works, where $\{e_1,e_2\}$ forms a basis for $\mathbb{C}^2$ and $\{e^1,e^2\}$ forms a corresponding dual basis for $(\mathbb{C}^2)^*$:

Choices for cup and cap

If I calculated it correctly, this is the two-strand twist as a matrix (derived from an $R$-matrix), with basis $\{e_{11},e_{12},e_{21},e_{22}\}$:

R-matrix for V_1

To get the matrices for $B_3$, one can perform the Kronecker product with the $2\times 2$ identity matrix, which has the effect of giving the matrix for a braid with an additional strand on one side. These were checked in Mathematica to satisfy $\sigma_1\sigma_2\sigma_1=\sigma_2\sigma_1\sigma_2$:

\begin{align} \sigma_1 &= \left( \begin{array}{cccccccc} \sqrt{q} & 0 & 0 & 0 & 0 & 0 & 0 & 0 \\ 0 & \sqrt{q} & 0 & 0 & 0 & 0 & 0 & 0 \\ 0 & 0 & \sqrt{q}-\frac{1}{q^{3/2}} & 0 & \frac{1}{\sqrt{q}} & 0 & 0 & 0 \\ 0 & 0 & 0 & \sqrt{q}-\frac{1}{q^{3/2}} & 0 & \frac{1}{\sqrt{q}} & 0 & 0 \\ 0 & 0 & \frac{1}{\sqrt{q}} & 0 & 0 & 0 & 0 & 0 \\ 0 & 0 & 0 & \frac{1}{\sqrt{q}} & 0 & 0 & 0 & 0 \\ 0 & 0 & 0 & 0 & 0 & 0 & \sqrt{q} & 0 \\ 0 & 0 & 0 & 0 & 0 & 0 & 0 & \sqrt{q} \\ \end{array} \right) \\ \sigma_2 &= \left( \begin{array}{cccccccc} \sqrt{q} & 0 & 0 & 0 & 0 & 0 & 0 & 0 \\ 0 & \sqrt{q}-\frac{1}{q^{3/2}} & \frac{1}{\sqrt{q}} & 0 & 0 & 0 & 0 & 0 \\ 0 & \frac{1}{\sqrt{q}} & 0 & 0 & 0 & 0 & 0 & 0 \\ 0 & 0 & 0 & \sqrt{q} & 0 & 0 & 0 & 0 \\ 0 & 0 & 0 & 0 & \sqrt{q} & 0 & 0 & 0 \\ 0 & 0 & 0 & 0 & 0 & \sqrt{q}-\frac{1}{q^{3/2}} & \frac{1}{\sqrt{q}} & 0 \\ 0 & 0 & 0 & 0 & 0 & \frac{1}{\sqrt{q}} & 0 & 0 \\ 0 & 0 & 0 & 0 & 0 & 0 & 0 & \sqrt{q} \\ \end{array} \right) \end{align}

This representation splits into irreducibles for generic values of $q$ (that is, except for a few roots of unity). In particular, this eight-dimensional representation splits as $2V_1\oplus V_3$. The projection onto the $V_3$ summand is given by the third Jones-Wenzl projector, which graphically can be written as

third Jones-Wenzl projector

and with some elbow grease this may be turned into an $8\times 8$ projection matrix. (For $q=1$, this is the projection onto $\operatorname{Sym}^3 V_1$.)

Kyle Miller
  • 20,247
  • This is exactly what I needed. Thank you very much for your amazing, clearly explained answer! – GKiu Feb 04 '19 at 11:20
0

Other representation, which is unitary, is given by

enter image description here

enter image description here

These matrices were checked in Maple in order to verify than they satisfy the braiding relation or the Yang-Baxter condition.

Juan Ospina
  • 2,257
0

Other representation for three qbits:

enter image description here

enter image description here

Juan Ospina
  • 2,257
0

Other possibility is the Jones representation:

enter image description here

enter image description here

with the condition

enter image description here

Juan Ospina
  • 2,257