I've seen plenty of discussion regarding solving recurrences like this with the master theorem, but I need to solve it via back substitution. Was doing pretty good until I got stuck in the summation part.
Assumptions are that $n$ is a power of $3$ so $n = 3^k$ and hence $k = \log_3(n)$. Also $T(1) = 1$.
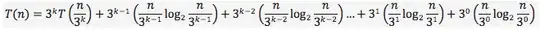
After substituting $3$ functions to recognize the pattern I found this general form for the recurrence:
And then I followed with:
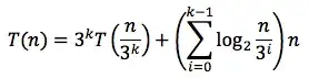
However this is the part where I got stuck:
I have absolutely no idea of how to resolve that sum, I tried applying logarithm properties to get a difference instead of division and then make two separated and simplier sums, but I still couldn't find or figure out if I can use any summation identities.



