I'm reviewing stats and probability, including Poisson processes, and I came across: $$e=\displaystyle \lim_{n\rightarrow \infty} \left(1+\frac{1}{n}\right)^n$$ I'd like to understand this more fully, but so far I'm struggling. I guess what I'm trying to understand is how you prove that it converges. Can anyone point me toward (or provide) a good explanation of this?
-
1Sorry for my lack of latex markup skills. The link points to a wikipedia image of this limit properly notated. – ivan Feb 16 '13 at 17:10
-
There is more than one way to prove this statement. What exactly are you struggling with? – Ludolila Feb 16 '13 at 17:18
-
2This is a common definition of e. What definition are you using? – Christopher King Feb 16 '13 at 17:20
5 Answers
Historically this is the definition of the number $e$. One can show that the sequence
$$\left( 1+\frac{1}{n}\right)^n$$
is increasing and bounded, and thus convergent. We define the limit to be $e$ and then it follows from this limit that $(e^x)'=e^x$.
Here is the proof of it:
Let $a_n= \left( 1+\frac{1}{n}\right)^n$ and $b_n=\left( 1+\frac{1}{n}\right)^{n+1}$. Then clearly $a_n \leq b_n$.
Then $$\frac{a_{n+1}}{a_{n}}=\frac{\left( 1+\frac{1}{n+1}\right)^{n+1}}{\left( 1+\frac{1}{n}\right)^{n}}=\frac{n^n(n+2)^{n+1}}{(n+1)^{2n+1}}=\left( \frac{n(n+2)}{(n+1)^{2}}\right)^{n+1}\frac{n+1}{n}$$
By Bernoulli inequality $$\left(1-\frac{1}{(n+1)^2} \right)^{n+1}\frac{n+1}{n} \geq \left(1-\frac{n+1}{(n+1)^2}\right)\frac{n+1}{n} = 1 $$
This shows that $a_n$ is increasing. Similarly $b_n$ is decreasing.
Thus $a_n$ is increasing and bounded by $b_1$, and hence convergent.
Now I will show that its limit is exactly $e$.
Let $l$ be its limit. Then
$$\ln(l) = \lim_n \frac{\ln(1+\frac{1}{n})-\ln 1}{\frac{1}{n}}=\ln'(1)=1$$
Comment: Most textbooks use the last argument to show this limit, but it only works for the wrong reason. We assume that the exponential is differentiable (because it "intuitively" is) and moreover that there is one exponential whose tangent at $(0,1)$ has slope exactly 1 (in other words, we use that $\ln(x)$ is continuous at $x=1$ to define $e$ and $\ln(x)$)..
It is exactly this limit which makes all these work.... And using directly those arguments, the argument really reduces to "because this limit is $e$, it follows that this limit is $e$".
There are actually simpler correct ways of defining $e$ but they all need a deep understanding of Analysis (like viz Taylor Series or using FTC: $\frac{1}{x}$ has an antiderivative).
-
Just a quick note on the comment, there is no need to assume that the exponential is differentiable. Simply define the exponential function $\exp(x) = \sum_{i=0}^{\infty}$ and all the usual properties of $\exp(x)$ and $\ln(x)$ follow quite easily, with no need for the FTC. This is particuarly nice because most of the interesting properties of $\exp$ and $\ln$ are differentiable properties rather than integral properties, and they all follow almost immediately from these definitions. – Tom Oldfield Feb 16 '13 at 17:51
-
@TomOldfield I mentioned that in my last paragraph, but all those definitions use Theorems not covered in an introductory calculus class, at least in North America. ;) And some of them are relatively strong results in Analysis... Moreover, with this approach you define $e=\sum_{n=0}^\infty \frac{1}{n!}=\lim_n \left( 1+\frac{1}{n}\right)^n$, so is not really a new definition, you just prove the existence of the above limit in a different way.... – N. S. Feb 16 '13 at 18:06
-
@TomOldfield And, to clarify, how would you introduce the exponential this to way to a student if Power series and sequences are NOT part of the material studied in the class? – N. S. Feb 16 '13 at 18:34
-
Trying to follow the proof, I'm stuck at: $$\frac{\left( 1+\frac{1}{n}\right)^{n}}{\left( 1+\frac{1}{n+1}\right)^{n+1}}=\frac{(n+1)^{2n}}{n^n(n+2)^n}\frac{n+1}{n+2}$$ Can you explain this step? – ivan Feb 16 '13 at 19:28
-
-
@N.S. I think any serious introductory analysis course must include series as well as sequences. In which case the definition of $\exp(x) = \sum_{i=0}^{\infty}\frac{x^n}{n!}$ would be totally valid, since it is a series for each $x$ and can be shown to converge for each $x$ without knowing anything about power series, by the ratio test for example. You would need to know about power series to show that it is a differentiable (and continuous) function, but I don't know how you'd do that at all from your definition. – Tom Oldfield Feb 16 '13 at 20:02
-
Still working through this, I'm getting a slightly different, $$\frac{a_n}{a_{n+1}}=\frac{(n+1)^{2n}}{n^n(n+2)^n}\frac{n+1}{n+2}=\left(1+ \frac{1}{n^2+2n} \right)^{n}\frac{n+1}{n+2}$$ so by the Bernoulli inequality, $$\frac{a_n}{a_{n+1}} \geq (1+\frac{n}{n^2+2n})\frac{n+1}{n+2} =(1+\frac{1}{n+2})(1-\frac{1}{n+2})$$ I'm not sure how to prove that's > or = to 1, but even if you can, doesn't that mean that $$\frac{a_n}{a_{n+1}} \geq 1 \Leftrightarrow a_n \geq a_{n+1}$$ and thus $a_n$ is decreasing? – ivan Feb 16 '13 at 21:30
-
@ivan You are right, actually there were couple mistakes in the line above (powers didn't match).. Not that reasoning should be right... I also made that part easier to read... To get the right inequality I should had of course calculated $\frac{a_{n+1}}{a_n}$ – N. S. Feb 16 '13 at 21:45
-
And to prove that $b_n$ is decreasing, which is needed to conclude that $a_n$ is bounded, you do the same but this time you need to calculate $\frac{b_n}{b_{n+1}}$ :) – N. S. Feb 16 '13 at 21:49
-
@N.S. Thanks for helping me out with this- I really appreciate it! I'm taking another look at it... – ivan Feb 16 '13 at 21:54
-
@ivan Sorry for the previous mistake, now I am pretty sure it is right. You can probably prove the part about $b_n$ by yourself, if you need help let me know :) – N. S. Feb 16 '13 at 21:57
-
I took a stab at $b_n$ and managed to proove that $\frac{b_n}{b_{n+1}} \geq 1 + \frac{1}{n\left(n+2\right)^2}$, so $b_n \geq b_{n+1} + \frac{b_{n+1}}{n\left(n+2\right)^2}$ and since $n \geq 0$, $b_n \geq b_{n+1}$, so $b_n$ is decreasing. I think this is right :) I'm not sure I see how this proves $a_n$ is bounded though. – ivan Feb 16 '13 at 23:03
-
-
-
I think you cant use $\ln(x)$ without $e$. So your answer is circular at that point. – MrYouMath Jun 02 '16 at 22:49
-
@MrYouMath one can easily avoid this, I only use the $\ln$ to emphasize that this is the right limit. If one wants to prove that the limit is $e$ without formally using the argument, one can proceed as follows: Call this limit $a$ and show first that $$\lim_n \left( 1+\frac{x}{n} \right)^n=a^x$$ for all $x$ rational. Then conclude from here that this equality holds for all real $x$. Finally, using this one can show that $(a^x)'=a^x$. – N. S. Jun 05 '16 at 13:05
It's not too hard to prove, but it does rely on a few things. (In particular the validity of the taylor expansion of $\ln$ around 1 and that $\exp$ is continuous.)
Consider in general the sequence $n\ln(1+x/n)$ which is defined for all $x$, positive or negative provided $n$ is large enough. (In fact the proof that follows can also be modified slightly to work for complex $x$). Using the power series representation $\ln(1+y) = \sum_{i=1}^\infty (-1)^{i+1}\frac{x^i}{i}$ we get
$$n\ln(1+\frac{x}{n}) = x + \sum_{i=2}^\infty(-1)^{i+1}\frac{x^i}{in^{i-1}}$$
The absolute values of the terms in the series on the right hand side are bounded above by a geometric series (for n large enough) whose summation tends to 0 as $n$ tends to infinity. Hence
$$\lim_{n\rightarrow \infty} n\ln(1+\frac{x}{n}) = x$$
And so using the fact that $\exp(x)$ is a continuous function:
$$\lim_{n\rightarrow \infty}\bigg(1+\frac{x}{n}\bigg)^n = \exp\bigg(\lim_{n\rightarrow \infty}n\ln(1+\frac{x}{n})\bigg) = \exp(x)$$
In particular, set $x = 1$ to get the result you ask for.
- 13,430
- 1
- 42
- 79
-
The problem with this type of approach, while it is easy to understand by students, is this: what is your definition of $e$? :) – N. S. Feb 16 '13 at 17:32
-
1BTW: Taylor series are not needed $\lim_{n\rightarrow \infty} n\ln(1+\frac{x}{n}) = x$ follows immediately from the definition of the derivative of $\ln(x)$ at $1$... – N. S. Feb 16 '13 at 17:33
-
1@N.S. We define the function $\exp(x)$ to be the power series $\sum_{n=0}^{\infty} \frac{x^n}{n}$, and $e = \exp(1)$ There is no problem with this definition and allows us to work with both $\exp$ and $\ln$ without the FTC.
To derive the limit, it depends on your definition of $\ln(x)$. You can define it as in integral of $\frac{1}{x}$ in which case your method works, or as the inverse of $\exp(x)$ in which case mine does.
– Tom Oldfield Feb 16 '13 at 17:40 -
Yes, you are right there is no problem with this definition, but this is not how most of our undergrad textbooks define $e$. The limit you calculate is actually equivalent to the fact that your definition of the exponential makes sense (i.e. it is an exponential function)... BTW: using the binomial expansion you can prove directly that $\lim_n (1+\frac{1}{n})^n=\sum_{n=0}^\infty \frac{1}{n!}$. – N. S. Feb 16 '13 at 17:45
-
@N.S. I wouldn't know, this is how I had $e$ defined to me as an undergraduate. Personally I would view the real test of a function as being exponential as having the property $f(x+y)=f(X)f(y)$. Yes, this definition can be derived from the other, and that just goes to show that it doesn't really matter which one you use, as long as you can use it easily! I guess everyone should just pick their favourite :) – Tom Oldfield Feb 16 '13 at 18:03
-
Yes that's how I learned exponential too, but it is typically introduced this way to math students which really can understand the subtilities involved in this definitions.... But the issue is that you cannot pick favorites, you need to pick the one you can truly understand. Power series and sequences are typically not covered in introductory Calculus classes (in NA), so, which definition should such a class use? Also, I learned the $e$ this way in undergrad too, but I covered sequences in highschool (but not power series).. I could still learn $e$ in highschool... And not .... – N. S. Feb 16 '13 at 18:19
-
... and not because it was my favorite, but because ot was the only approach which could use the little knowledge I have... It is probably the reason I always think about $e$ this way, but I like it because it uses much less Analysis that the exponential approach, which I agree, in many ways is more natural (if you think in terms of exponential functions not numbers).... – N. S. Feb 16 '13 at 18:20
I have removed the more precise, but more confusing, justifications of $(1)$ and $(2)$. In this answer, I show that $$ \left(1+\frac1{n+1}\right)^{n+1}\ge\left(1+\frac1n\right)^n\tag{1} $$ and $$ \left(1+\frac1{n+1}\right)^{n+2}\le\left(1+\frac1n\right)^{n+1}\tag{2} $$ Therefore, $(1)$ says that $\left(1+\frac1n\right)^n$ is an increasing sequence and $(2)$ says that $\left(1+\frac1n\right)^{n+1}$ is a decreasing sequence. Since $\left(1+\frac1n\right)^n\le\left(1+\frac1n\right)^{n+1}$ the increasing sequence is bounded above and the decreasing sequence is bounded below; thus, they both converge.
Since $\lim\limits_{n\to\infty}\frac{\left(1+\frac1n\right)^{n+1}}{\left(1+\frac1n\right)^n}=\lim\limits_{n\to\infty}\left(1+\frac1n\right)=1$. They both converge to the same limit. This is called $e$. $$ e=\lim_{n\to\infty}\left(1+\frac1n\right)^n\tag{3} $$
I want to put this as an answer rather than a comment so that people can find it easily:
^ Wikipedia has the cleanest approach I can find. i.e. It doesn't pull anything out of the blue, and it doesn't sit on top of other advanced results.
I'm not going to replicate the working; I am confident it will not change for the worse.
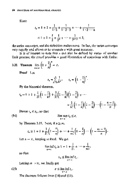
EDIT: I just noticed it cites its source as Rudin, theorem 3.31, p. 63–5, so it is the same as the picture posted in another answer!
- 2,236
A great elementary proof is on Rudin's Principles of Mathematical Analysis page 64 Theorem 3.31.


PS: Sorry I don't know how to stretch it, maybe you can download the pic and enlarge.
- 10,887
- 5
- 55
- 109