3

enter image description here]!

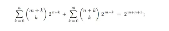
I'm having some problems proving this identity. I tried using some formulas I found on the internet so I can turn that $2$ base number into something else but i'm not really sure how to do that. I would be really thankful if someone could help!

RobPratt
  • 50,938

3 Answers3

3

We rewrite the first sum as follows $$ \eqalign{ & \sum\limits_{0\, \le \,k\, \le \,n} {\left( \matrix{ m + k \cr k \cr} \right)2^{\,n - k} } = \sum\limits_{\left( {0\, \le } \right)\,k\, \le \,n} {\sum\limits_{\left( {0\, \le } \right)\,j\,\left( { \le \,n - k} \right)} {\left( \matrix{ m + k \cr k \cr} \right)\left( \matrix{ n - k \cr j \cr} \right)1^{\,n - k - j} 1^{\,j} } } = \cr & = \sum\limits_{\left( {0\, \le } \right)\,k\,\left( { \le \,n} \right)} {\sum\limits_{0\, \le \,j\,\left( { \le \,n - k} \right)} {\left( \matrix{ m + k \cr k \cr} \right)\left( \matrix{ n - k \cr n - k - j \cr} \right)} } = \cr & = \sum\limits_{0\, \le \,j\,\left( { \le \,n} \right)} {\sum\limits_{\left( {0\, \le } \right)\,k\,\left( { \le \,n} \right)} {\left( \matrix{ m + k \cr k \cr} \right)\left( \matrix{ n - k \cr n - k - j \cr} \right)} } = \cr & = \sum\limits_{0\, \le \,j\,\left( { \le \,n} \right)} {\left( \matrix{ m + n + 1 \cr n - j \cr} \right)} = \sum\limits_{\left( {0\, \le } \right)\,j\, \le \,n} {\left( \matrix{ m + n + 1 \cr j \cr} \right)} = \quad \quad (*) \cr & = 2^{\,m + n + 1} - \sum\limits_{n + 1\, \le \,j\,\left( { \le \,n + m + 1} \right)} {\left( \matrix{ m + n + 1 \cr j \cr} \right)} = \cr & = 2^{\,m + n + 1} - \sum\limits_{n + 1\, \le \,j\,\left( { \le \,n + m + 1} \right)} {\left( \matrix{ m + n + 1 \cr m + n + 1 - j \cr} \right)} = \cr & = 2^{\,m + n + 1} - \sum\limits_{0\, \le \,j\,\left( { \le \,m} \right)} {\left( \matrix{ m + n + 1 \cr m - j \cr} \right)} = \cr & = 2^{\,m + n + 1} - \sum\limits_{\left( {0\, \le } \right)\,j\, \le \,m} {\left( \matrix{ m + n + 1 \cr j \cr} \right)} \cr} $$ and since the second sum is the first with $m,n$ exchanged, the identity clearly follows by comparing line (*) with the last line.

Note:

  • the line (*) follows from the above through the "Double Convolution" formula $$ \sum\limits_k {\left( \matrix{ a + k \cr n + k \cr} \right)\left( \matrix{ b - k \cr m - k \cr} \right)} = \left( \matrix{ a + b + 1 \cr n + m \cr} \right) $$

  • the summation bounds put in brackets are those which are superfluous, since they are implicit in the binomial.

G Cab
  • 35,964
0

We have by inspection that

$$\sum_{k=0}^n {m+k\choose k} 2^{n-k} = 2^n [z^n] \frac{1}{1-z} \frac{1}{(1-z/2)^{m+1}}.$$

This is

$$2^n \times \mathrm{Res}_{z=0} \frac{1}{z^{n+1}} \frac{1}{1-z} \frac{1}{(1-z/2)^{m+1}} \\ = - 2^n \times \mathrm{Res}_{z=0} \frac{1}{z^{n+1}} \frac{1}{z-1} \frac{2^{m+1}}{(2-z)^{m+1}} \\ = 2^{n+m+1} (-1)^{m} \times \mathrm{Res}_{z=0} \frac{1}{z^{n+1}} \frac{1}{z-1} \frac{1}{(z-2)^{m+1}}.$$

With

$$f(z) = 2^{n+m+1} (-1)^{m} \frac{1}{z^{n+1}} \frac{1}{z-1} \frac{1}{(z-2)^{m+1}}$$

we will be using the fact that residues sum to zero i.e.

$$\mathrm{Res}_{z=0} f(z) + \mathrm{Res}_{z=1} f(z) + \mathrm{Res}_{z=2} f(z) + \mathrm{Res}_{z=\infty} f(z) = 0.$$

The residue at infinity is zero since $\lim_{R\to\infty} 2\pi R / R^{n+1} / R / R^{m+1} = 0.$

The residue at one is

$$2^{n+m+1} (-1)^{m} \times (-1)^{m+1} = - 2^{n+m+1}.$$

For the residue at two we use the Leibniz rule:

$$\frac{1}{m!} \left( \frac{1}{z^{n+1}} \frac{1}{z-1} \right)^{(m)} \\ = \frac{1}{m!} \sum_{k=0}^m {m\choose k} (-1)^k \frac{(n+k)!}{n!} \frac{1}{z^{n+1+k}} (-1)^{m-k} \frac{(m-k)!}{(z-1)^{m-k+1}} \\ = (-1)^m \sum_{k=0}^m {n+k\choose k} \frac{1}{z^{n+1+k}} \frac{1}{(z-1)^{m-k+1}}.$$

Restore factor in front and evaluate at $z=2$:

$$2^{n+m+1} (-1)^{m} \times (-1)^m \sum_{k=0}^m {n+k\choose k} \frac{1}{2^{n+1+k}} = \sum_{k=0}^m {n+k\choose k} 2^{m-k}.$$

Summing the residues we have shown that

$$\bbox[5px,border:2px solid #00A000]{ \sum_{k=0}^n {m+k\choose k} 2^{n-k} + \sum_{k=0}^m {n+k\choose k} 2^{m-k} - 2^{n+m+1} = 0} $$

which is the claim.

Remark. This is a special case of an identity by Gosper which was proved at the following MSE link (set $x=1/2.$)

Addendum. The initial step may be done using an Iverson bracket. We have

$$\sum_{k=0}^n {m+k\choose k} 2^{n-k} = \sum_{k\ge 0} {m+k\choose k} 2^{n-k} [[0\le k\le n]] \\ = \sum_{k\ge 0} {m+k\choose k} 2^{n-k} [z^n] \frac{z^k}{1-z} = [z^n] \frac{1}{1-z} \sum_{k\ge 0} {m+k\choose k} 2^{n-k} z^k \\ = 2^n [z^n] \frac{1}{1-z} \sum_{k\ge 0} {m+k\choose k} 2^{-k} z^k = 2^n [z^n] \frac{1}{1-z} \frac{1}{(1-z/2)^{m+1}}.$$

Marko Riedel
  • 64,728
0

$\newcommand{\bbx}[1]{\,\bbox[15px,border:1px groove navy]{\displaystyle{#1}}\,} \newcommand{\braces}[1]{\left\lbrace\,{#1}\,\right\rbrace} \newcommand{\bracks}[1]{\left\lbrack\,{#1}\,\right\rbrack} \newcommand{\dd}{\mathrm{d}} \newcommand{\ds}[1]{\displaystyle{#1}} \newcommand{\expo}[1]{\,\mathrm{e}^{#1}\,} \newcommand{\ic}{\mathrm{i}} \newcommand{\mc}[1]{\mathcal{#1}} \newcommand{\mrm}[1]{\mathrm{#1}} \newcommand{\pars}[1]{\left(\,{#1}\,\right)} \newcommand{\partiald}[3][]{\frac{\partial^{#1} #2}{\partial #3^{#1}}} \newcommand{\root}[2][]{\,\sqrt[#1]{\,{#2}\,}\,} \newcommand{\totald}[3][]{\frac{\mathrm{d}^{#1} #2}{\mathrm{d} #3^{#1}}} \newcommand{\verts}[1]{\left\vert\,{#1}\,\right\vert}$ $\ds{\bbox[10px,#ffd]{\sum_{k = 0}^{n}{m + k \choose k}2^{n - k} + \sum_{k = 0}^{m}{n + k \choose k}2^{m - k} = 2^{m + n + 1}}:\ {\LARGE ?}} $


\begin{equation} \mbox{Lets}\ \mrm{f}_{mn}\pars{x} \equiv \sum_{k = 0}^{n}{m + k \choose k}\,x^{k}\,,\qquad \left\{% \begin{array}{rcl} \ds{\mrm{f}\pars{0}} & \ds{=} & \ds{1} \\[2mm] \ds{2^{n}\,\mrm{f}_{mn}\pars{1 \over 2} + 2^{m}\,\mrm{f}_{nm}\pars{1 \over 2}} & \ds{=} & {\LARGE ?} \end{array}\right.\label{1}\tag{1} \end{equation}
\begin{align} \mrm{f}_{mn}\, '\pars{x} & = \sum_{k = 1}^{n}{\pars{m + k}! \over \pars{k - 1}!\,m!}\,x^{k - 1} = \sum_{k = 0}^{n - 1}{\pars{m + k + 1}! \over k!\,m!}\,x^{k} \\[5mm] & = \sum_{k = 0}^{n - 1}\pars{m + k + 1}{m + k \choose k}\,x^{k} \\[5mm] & = -\pars{m + n + 1}{m + n \choose n}x^{n} + \pars{m + 1}\sum_{k = 0}^{n}\,{m + k \choose k}\,x^{k} \\[2mm] & + x\,\totald{}{x}\sum_{k = 0}^{n}\,{m + k \choose k}\,x^{k} \\[5mm] & = -\pars{m + n + 1}{m + n \choose n}x^{n} + \pars{m + 1}\mrm{f}_{mn}\pars{x} + x\,\mrm{f}_{mn}\, '\pars{x} \end{align} Then, I got a first order differential equation for $\ds{\mrm{f}_{mn}\pars{x}}$. Namely, $$ \mrm{f}_{mn}\, '\pars{x} + {m + 1 \over x - 1}\,\mrm{f}\pars{x} = \pars{m + n + 1}{m + n \choose n}\,{x^{n} \over x - 1} $$ Multiply both members by the integrating factor $\ds{\pars{x - 1}^{m + 1}}$: \begin{align} &\pars{x - 1}^{m + 1}\mrm{f}_{mn}\, '\pars{x} + \pars{m + 1}\pars{x - 1}^{m}\,\mrm{f}_{mn}\pars{x} \\[2mm] = &\ \pars{m + n + 1}{m + n \choose n}\,x^{n}\pars{x - 1}^{m} \end{align} which is equivalent to $$ \totald{\bracks{\pars{x - 1}^{m + 1}\mrm{f}_{mn}\pars{x}}}{x} = \pars{m + n + 1}{m + n \choose n}\,x^{n}\pars{x - 1}^{m} $$ Integrate both members over $\ds{\pars{0,1/2}}$: \begin{align} &\pars{-1}^{m + 1}\, 2^{-m - 1}\,\mrm{f}_{mn}\pars{1 \over 2} - \pars{-1}^{m + 1}\ \overbrace{\mrm{f}_{mn}\pars{0}}^{\ds{=\ 1}}\ \\[2mm] = &\ \pars{-1}^{m}\pars{m + n + 1}{m + n \choose n} \int_{0}^{1/2}x^{n}\pars{1 - x}^{m}\,\dd x \\[5mm] &\ \mbox{which yields} \\[2mm] &\mrm{f}_{mn}\pars{1 \over 2} = 2^{m + 1} \\[2mm] &\ - 2^{m + 1}\pars{m + n + 1} {m + n \choose n}\int_{0}^{1/2}x^{n}\pars{1 - x}^{m}\,\dd x \end{align} The $\ds{\underline{final\ solution}}$ $\ds{\left(\vphantom{\large A}\right.}$ see (\ref{1}) $\ds{\left.\vphantom{\large A}\right)}$ becomes: \begin{align} &\phantom{+\,\,\,}\bracks{2^{n + m + 1} - 2^{n + m + 1}\pars{m + n + 1} {m + n \choose n}\int_{0}^{1/2}x^{n}\pars{1 - x}^{m}\,\dd x} \\[2mm] &\ + \bracks{2^{m + n + 1} - 2^{m + n + 1}\pars{n + m + 1} {n + m \choose m} \color{red}{\int_{0}^{1/2}x^{m}\pars{1 - x}^{n}\,\dd x}} \end{align} Under the change $\ds{x \mapsto 1 - x}$, the $\ds{\color{red}{last\ integral}}$ becomes equal to $\ds{\int_{1/2}^{1}x^{n}\pars{1 - x}^{m}\,\dd x}$ such that the $\ds{\underline{final\ solution}}$ is reduced to: \begin{align} &2 \times2^{n + m + 1} - 2^{n + m + 1}\pars{m + n + 1} {m + n \choose n}\int_{0}^{1}x^{n}\pars{1 - x}^{m}\,\dd x \\[5mm] = &\ 2 \times2^{n + m + 1} - 2^{n + m + 1}\pars{m + n + 1}{m + n \choose n}\ \underbrace{\Gamma\pars{n + 1}\Gamma\pars{m + 1} \over \Gamma\pars{n + m + 2}} _{\ds{=\ {1 \over \pars{m + n + 1}{m + n \choose n}}}} \\[5mm] = &\ 2 \times 2^{n + m + 1} - 2^{n + m + 1} \times 1 =\ \bbox[15px,#ffd,border:1px groove navy]{\Large 2^{m + n + 1}} \\ & \end{align}
Felix Marin
  • 94,079