1

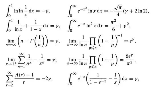
Is there any book which includes proofs of the following integrals (and perhaps many other important definite integrals)?

enter image description here

0 Answers0