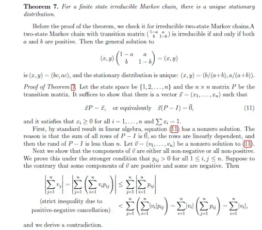
I am currently trying to understand a proof for the above, which states that, in other words, there exists a unique $\overrightarrow{v}$, such that $\overrightarrow{v}P = \overrightarrow{v}$ for the transition matrix $P$.
He first shows that there exists a non-zero $\overrightarrow{v}$, which satisfies $\overrightarrow{v}P = \overrightarrow{v}$.
Next, he proves that either $\forall v \in \overrightarrow{v} (v \text{ is non-negative})$ or $\forall v \in \overrightarrow{v} (v \text{ is non-positive})$ by contradiction. However, I don't understand what's the contradiction in this part of the proof. Attached is the proof for your reference.
