I'm trying to compute the Laurent series of $\frac{1}{\sin(z)}$ at $z_0=0$. From what I've seen on the internet this is given as
$f(z)=\frac{1}{z}+\frac{z}{3!}+\frac{7z^3}{360}+...$
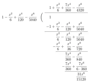
My attempt:
$f(z)=\frac{1}{\sin(z)}$ can be rewritten as $f(z)=\frac{1}{z}\frac{z}{\sin(z)}$
We can express $\sin(z)$ as $\sin(z)=z-\frac{z^2}{3!}+\frac{z^4}{5!}+...$
$\therefore \frac{z}{\sin(z)}=(\frac{\sin(z)}{z})^{-1}=(1-\frac{z}{3!}+\frac{z^3}{5!}+...)^{-1}$
To get this to equal what I know it should, then we should have $(\frac{\sin(z)}{z})^{-1}=(1+\frac{z}{3!}+\frac{7z^3}{360}+...)$ but how can this be what do I do with my negative sign and how do I obtain the $\frac{7}{360}$ coefficient?
