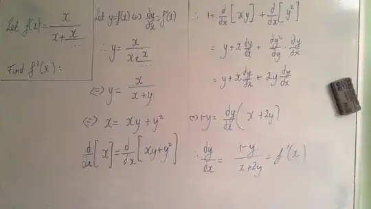
Question: If $f(x) = \cfrac{x}{x + \cfrac{x}{x + \cfrac{x}{x + \vdots}}}$, find $f'(x)$.
Possible Answer:
After searching all over the place I’ve given up and resorted to posting this, I know this is a very simple problem for most of you on here but I was wondering if you could check my answer- found this question somewhere on this website yet they didn’t post the answer.
Thanks
George
