1

Use the triangle inequalities to prove that:

$$\frac{|a+b|}{1+|a+b|}\le\frac{|a|}{1+|a|} + \frac{|b|}{1+|b|}$$ for all $a,b\in\mathbb{R}$.

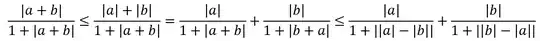
I've made it this far, but it doesn't seem to be helping much; what I end up with at the end isn't very useful:

enter image description here

Clearly I'm taking a wrong turn somewhere, but I'm not sure what else to try. Any advice?

1 Answers1

4

$$\frac{|a+b|}{1+|a+b|}=1-\frac{1}{1+|a+b|}\leq1-\frac{1}{1+|a|+|b|}=$$ $$=\frac{|a|}{1+|a|+|b|}+\frac{|b|}{1+|a|+|b|}\leq\frac{|a|}{1+|a|}+\frac{|b|}{1+|b|}.$$