1

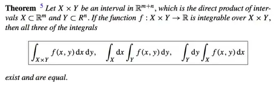
Reference:(Fubini's Theorem)

enter image description here

Question:

Is there any example for $f: I\to \mathbb{R}^n$ both the iterated integrals in Fubini's theorem exists and are equal, yet $f \not \in R(I)$ ?

Edit:

Both question and the theorem comes from the second edition of the book Mathematical Anaylsis II by Zorich.

Edit 2:

That famous Remark that I always mentioned.

enter image description here

enter image description here

Our
  • 7,425

2 Answers2

4

Answer to the question below. First we should note that the theorem as stated is false, if we're talking about Riemann integrals.

Let $X=Y=[0,1]$. Let $f(x,y)=0$ if $y\ne0$; let $f(x,0)=1$ if $x$ is rational, $0$ otherwise. It's easy to see from the definition that $f$ is Riemann integrable on $X\times Y$ (or note that $f$ is certainly continuous almost everywhere.) But $\int_0^1 f(x,0)\,dx$ does not exist, hence at least one of the iterated integrals fails to exist.

Fubini's theorem would be one reason they invented the Lebesgue integral... It turns out that that little detail, a function has to be defined on $X$ before it can be Riemann integrable on $X$, is the only problem:

Theorem: Suppose $f$ is Riemann integrable on $X\times Y$ as above. If $g(x)=\int_Yf(x,y)\,dy$ exists for every $x\in X$ then $g$ is Riemann integrable and $\int_X g(x)\,dx=\int_{X\times Y}f(x,y)\,dxdy$.

Proof, in questionable taste: For a given $x$, if $f$ is continuous at $(x,y)$ for almost every $y$ then DCT shows that $g$ is continuous at $x$. So the measure-theory Fubini's theorem shows that $g$ is continuous almost everywhere, hence Riemann integrable. The measure-theory Fubini theorem shows that $\int_X g(x)\,dx=\int_{X\times Y}f(x,y)\,dxdy$.

Digression

The OP has been insisting that changing a function on a set of measure zero does not change the Riemann integral. This is well known to be nonsense. For the benefit of anyone who doesn't see why it's nonsense:

Define $z:[0,1]\to\Bbb R$ by $z(t)=0$. Then $\int_0^1 z(t)\,dt=0$. Now modify $z$ on a set of measure zero: Define $r(t)=0$ if $t$ is irrational, $1$ if $t$ is rational. Then $r$ is not Riemann integrable.

It's obvious for example that every "upper sum" for $r$ equals $1$ while every lower sum equals $0$.

An explanation using just Riemann sums, showing that modifying a function on a set of measure zero does change the limiting behavior of the Riemann sums: If $n$ is even let $$s_n=\frac1n\sum_{j=1}^nr(j/n)$$. If $n$ is odd choose an irrational number $\alpha_n$ with $0<\alpha_n<1/n$, and let $$s_n=\frac1n\sum_{j=1}^nr(j/n-\alpha_n).$$

Then $(s_n)$ is a sequence of Riemann sums for $r$, corresponding to a sequence of partitions with mesh tending to $0$. But $s_n=1$ if $n$ is even and $s_n=0$ if $n$ is odd. So $\lim s_n$ does not exist. So by definition $r$ is not Riemannn integrable.

(It's true, and not hard to show, that modifying a function on a compact set of measure zero does not change the Riemann integral. That doesn't help rehabilitate the theorem, because if $f$ is Riemann integrable on $[0,1]\times[0,1]$ the null set of $x$ where $\int_0^1f(x,y)\,dy$ does not exist need not be compact.)

Example showing the the set of $x$ such that $\int_0^1f(x,y)\,dy$ does not exist need not be compact: Say $(q_j)$ is a countable dense subset of $[0,1]$. Define $f(x,y)=0$ if $x\notin(q_j)$, and set $f(q_j,y)=0$ if $y$ is irrational, $1/j$ if $y$ is rational. Then $f$ is Riemann integrable on $[0,1]\times[0,1]$, but for every $j$ the integral $\int_0^1f(q_j,y)\,dy$ fails to exist.

End digression

Below Assuming you mean $I=[0,1]\times[0,1]$: Let $S=(p_j)$ be a countable dense subset of $I$ such that $S$ intersects each vertical line and each horizontal line in at most one point. (Construction below.) Let $f(p_j)=1$, $f(x,y)=0$ for $(x,y)\notin S$. Then both iterated (Riemann) integrals exist, but $f$ is not Riemann integrable on $I$; for example $f$ is not continuous at any point.

Construction: Say $(q_j)$ is a countable dense set. Let $p_1=q_1$. Choose $p_2$ so $|p_2-q_2|<1/2$ and $p_2$ does not have either coordinate in common with $p_1$. Etc: One by one choose $p_n$ so $|q_n-p_n|<1/n$ and the $x$ and $y$ coordinates of $p_n$ are different from the coordinates of $p_j$, $1\le j<n$.

  • 1
    For your first counterexample, in later chapters of the book, Zorich states that if one of the inner integrals in an iterated integrals do not exist, in particular $\int_0^1 f(x,0),dx$, the set where this integral do not exist is a set of measure zero, hence it does not contribute to the integral $\int_0^1 dy \int_0^1 f(x,0),dx $, so it does not violate the existence of $\int_0^1 \int_0^1 f(x,0),dx$. – Our Feb 04 '18 at 07:02
  • Further comment: As far as I interpret, the fact that $\int_0^1 f(x,0),dx$ does not exist just means that the limit of the Riemann sum does not converge to a value, but nevertheless that non-converging value has to within the range of $\underline J$ and $\bar J$ (lower and upper Darboux integrals) because $f$ is integrable implies that $f$ is bounded, hence it has a finite value, and when since those non-conversing integrals happens at measure zero $x$ values, i.e the set of all such $x$'s has measure zero, in a sense they do not cause any problem. – Our Feb 04 '18 at 07:12
  • Please correct me if there anything wrong. – Our Feb 04 '18 at 07:12
  • @onurcanbektas That's simply wrong. A set of measure zero does not change the Lebesgue integral - it has a huge effect on the Riemann integral. If we define $r:[0,1]\to\Bbb R$ by $r(t)=1$ if $t$ is rational, $0$ if $t$ is irrational, then the Riemann integral of $r$ does not exist, even though $=0$ almost everywhere. He's not giving results about the Riemann integral as claimed, but about some modified version of the Riemann integral. – David C. Ullrich Feb 04 '18 at 13:27
  • @onurcanbektas Before we can say that a set of measure zero doesn't change the modified Riemann integral we need to give a definition of this integral. It can't be the standard definition of the Riemann integral, because there a set of measure zero does matter. What's the definition of these integrals? Just saying "set of measure zero doesn't matter" doesn't make it so. – David C. Ullrich Feb 04 '18 at 13:33
  • The problem, I think, you are having in this case is that we are not just considering the integral that is inside, i.e $\int_a^b r(t) dt$, but the iterated integral, i.e $\int_c^d \int_a^b r(t) dt$, so the fact that the integral that is inside does not exist does not mean that the iterated integral is also does not exists, ... – Our Feb 04 '18 at 14:06
  • because, for example, for $\int_X dx \int_Y f(x,y) dy$ means that for a given $x_0 \in X$, calculate $\int_Y f(x_0, y) dy$. if $\int_Y f(x_0, y) dy$ does not exits, then that value is bounded by the values $\underline J$ and $\bar J$. Moreover, the set $E = { x \in X | \int_Y f(x_0, y) dy \quad \text{does not exits}}$ has measure zero, so whenever $\int_Y f(x_0, y) dy$ does not exists, in Riemann sum, these non-converging values will be multiplies by the measure of that measure zero set, i.e. $0$, ... – Our Feb 04 '18 at 14:06
  • so they will not contribute to the final value of the Riemann sum, hence they will not affect the converging characteristic of that sum. – Our Feb 04 '18 at 14:06
  • By the way, have you checked out the book, the author gives a long remark about this theorem. – Our Feb 04 '18 at 14:13
  • @onurcanbektas I heard you the first time. Saying that $E$ has measure zero so it doesn't affect the integral is simply wrong. False. Untrue. Putting the words measure zero in bold doesn't change that. Look: Define $r:[0,1]\to\Bbb R$ by $r(t)=1$ if $t$ is rational, $0$ is $t$ is irrational. Then $r$ is the same as the zero function, except changed on a set of measure zero. But that change on a set of measure zero did affect the integral. It's obvious that the upper integral of $r$ is $1$ while the lower integral is $0$. So the Riemann integral of $r$ does not exist. – David C. Ullrich Feb 04 '18 at 14:19
  • @onurcanbektas Or if you prefer Riemann sums: Say $r$ is as above. For any partition $0=t_0<\dots<t_n=1$ there exists a choice of $x_j\in I_=[t_{j-1},t_j]$ such that the Riemann sum is $0$, and another choice of $x_j\in I_j$ such that the Riemann sum is $1$. So that set of measure zero does change the Riemann sums. And there is no $L$ and $\delta$ such that for every partition of mesh less than $\delta$ every Riemann sum is within $\epsilon$ of $L$. So the function is not Riemann integrable. – David C. Ullrich Feb 04 '18 at 14:24
  • @onurcanbektas You can say a set of measure zero does not chhange the Riemann integral as many times as you want. You can even say that that's what I don't understand. But no matter how many times you say it it remains wrong. – David C. Ullrich Feb 04 '18 at 14:26
  • @onurcanbektas See the Digression I added to the answer - I show in complete detail that changing a function on a set of measure zero can change the limiting behavior of the Riemann sums. – David C. Ullrich Feb 04 '18 at 15:00
  • You are saying that the integral $\int_0^1 r(t) dt$ does not exist, and I agree on that, but what you are not talking about is whether the integral $\int_c^d \int_0^1 r(t) dt dx$ exits or not. – Our Feb 04 '18 at 15:29
  • @conurcanbektas You're not paying attention. Read carefully: Given that $r$ is not Riemann integrable it follows that the statement "Changing a function on a set of measure zero does not change the Riemann integral" is false. But that false statement is the key part of your explanation of why the Theorem is actually ok. – David C. Ullrich Feb 04 '18 at 15:38
  • "Changing a function.." ? I have never said such a thing. – Our Feb 04 '18 at 15:45
  • @onurcanbektas Oh come on. You did say this: "Moreover, the set E={x∈X|∫Yf(x0,y)dydoes not exits}E={x∈X|∫Yf(x0,y)dydoes not exits} has measure zero, so whenever ∫Yf(x0,y)dy∫Yf(x0,y)dy does not exists, in Riemann sum, these non-converging values will be multiplies by the measure of that measure zero set, i.e. 0, ... so they will not contribute to the final value of the Riemann sum, hence they will not affect the converging characteristic of that sum. " And the statement that the values on $E$ don't matter because $E$ has mmeasure zero is nonsense. – David C. Ullrich Feb 04 '18 at 15:52
  • @onurcanbektas Oops, the formatting want bad when I cut&poasted that quote. A better formatted version of the same comment: Come now. Whether you've used the words "changing a function" or not, you have been insisting that the values of a function on a set of measure zero don't matter to the Riemann integral. The function $r$ shows that that's nonsense. – David C. Ullrich Feb 04 '18 at 16:03
  • David I have never intended to claim that. I only said that when the inner integral does not exits, the other integral takes values from a measure zero set, as a result those $(x,y)$ values the integral gives $0$ value, hence they do not contribute to the final value of the integral. – Our Feb 04 '18 at 16:08
  • I did not deleted any of my comments, you can re-read them if you like. – Our Feb 04 '18 at 16:08
  • " I only said that when the inner integral does not exits, the other integral takes values from a measure zero set, as a result those (x,y)(x,y) values the integral gives 00 value, hence they do not contribute to the final value of the integral." Ok, so you said that. That is false. the function $r$ shows that the values on a set of measure zero can contribute to the final value of the integral. (Or rather, they can affect whether the function is integrable.) – David C. Ullrich Feb 04 '18 at 16:11
  • How so ? I couldn't see. – Our Feb 04 '18 at 16:14
  • @onurcanbektas How so??? Look. The function $r$ satisfies $r=0$ except on a set $E$ of measure zero. So it's the values of $r$ on that set that are preventing $r$ from being integrable. – David C. Ullrich Feb 04 '18 at 16:23
  • Fixed typos in a comment it's too late to edit: @onurcanbektas Say $g(x)=\int_0^1f(x,y),dy$. The issue is not the "value" of $\int_0^1g(x),dx$, the issue is whether $g$ is integrable! If it's not integrable then there's no such thing as the value of $\int_0^1 g$.. (On the other hand if $g$ is integrable then there's no problem.) – David C. Ullrich Feb 04 '18 at 16:26
  • I see. I will think on it a bit. – Our Feb 04 '18 at 16:28
  • @onurcanbektas In case you ever decide to stop spouting nonsense and get this straight, here's what I think the error in your reasoning is: You seem to think that since $f$ is bounded the values of $f$ on $E$ cannot affect the limit of the Riemann sums. But the function $r$ shows that this is not true: Look at the Riemann sums I wrote out in the Digression above: Even though $E$ has measure zero, the values of $r$ on $E$ have a large effect on all the Riemann sums $s_n$ (for $n$ odd.) – David C. Ullrich Feb 04 '18 at 16:30
  • How nice of you to say that :) I will think this in the morning with a clear mind, thanks. – Our Feb 04 '18 at 16:36
  • @DavidC.Ullrich: (+1) from me for providing the example for the actual question. – RRL Feb 05 '18 at 08:35
  • @onurcanbektas "effort"? I actually gave an answer to the question you asked, while btw the answer you accepted says nothing about the question you asked, except to note that I'd answered it. Good luck getting answers to your homework questions in the future... – David C. Ullrich Feb 05 '18 at 15:12
  • @DavidC.Ullrich "Homework question" ? David, even though this will not be taught me in anywhere in my undergraduate curriculum, I'm self-studying this subject during the semester holiday. – Our Feb 05 '18 at 15:20
3

The statement of the Theorem given as a reference is false. As such, it is just a distraction with respect to the Question, which David C. Ullrich has answered by providing a nice example.

I just will focus on the theorem to help clarify beyond what has already been discussed in the comments.

The hypothesis is that the bounded function $f:X \times Y \to \mathbb{R}$ is Riemann integrable on the bounded interval (rectangle) $X \times Y \subset \mathbb{R}^{n+m}.$ What is a true statement is that

$$\tag{1}\int_{X \times Y} f = \int_X \left(\underline{\int}_Y f(x,y) \, dy\right) dx = \int_X \underline{J}(x) \, dx \\ = \int_X \left(\overline{\int}_Y f(x,y) \, dy\right) \, dx = \int_X \overline{J}(x)\, dx, $$

where for fixed $x\in X$ the lower and upper Darboux integrals appearing above must exist (since $f$ is bounded) and as a conclusion are themselves Riemann integrable over $X$ and satisfy (1).

We also have a similar statement as (1) with the order of the integration reversed, but we don't need to discuss that to proceed.

Proof of (1)

Let $P = P_X \times P_Y$ be partition of $X \times Y$ where $P_X$ and $P_Y$ are partions of $X$ and $Y$ into subintervals in $\mathbb{R}^m$ and $\mathbb{R}^n$, respectively. On any subinterval $R_X \times R_Y$ of $P$ we have $m_{R_X \times R_Y}(f) = \inf_{R_X \times R_Y} f(x,y) \leqslant f(x,y)$ and $m_{R_X \times R_Y}(f) \leqslant \inf_{R_Y} f(x,y) = m_{R_Y}(f)$, where we take $x$ as fixed in the second inequality.

Hence,

$$\sum_{R_Y} m_{R_X \times R_Y}(f) \text{vol }(R_Y) \\ \leqslant \sum_{R_Y} m_{R_Y}(f) \text{vol }(R_Y) = L(P_Y, f(x,\cdot)) \leqslant \underline{\int}_Y f(x,y) \, dy = \underline{J}(x)$$

Taking the infimum over $x \in R_X$, multiplying by $\text{vol }(R_X)$, and summing we get for lower Darboux sums

$$L(P,f) = \sum_{R_X, R_Y} m_{R_X \times R_Y}(f) \text{vol }(R_Y)\text{vol }(R_X) \leqslant \sum_{R_X} \inf_{R_X} \underline{J}(x) \text{vol }(R_X) = L(P_X, \underline{J}) $$

Similarly we can show for upper Darboux sums that $U(P,f) \geqslant U(P_X, \overline{J}),$ and it follows that

$$L(P,f) \leqslant L(P_X, \underline{J}) \leqslant U(P_X,\underline{J}) \leqslant U(P_X,\overline{J}) \leqslant U(P,f), \\ L(P,f) \leqslant L(P_X, \underline{J}) \leqslant L(P_X,\overline{J}) \leqslant U(P_X,\overline{J}) \leqslant U(P,f). $$

Since $f$ is Riemann integrable, for any $\epsilon > 0$ there is a partition $P$ such that

$$U(P,f) - L(P,f) < \epsilon, \,\, U(P_X,\underline{J}) - L(P_X,\underline{J}) < \epsilon, \, \, U(P_X,\overline{J}) - L(P_X,\overline{J}) < \epsilon,$$

and it follows that $\underline{J}$ and $\overline{J}$ are integrable over $X$ and (1) holds.

Correction of the Theorem (Zorich)

Since $\int_X \overline{J}(x) \, dx = \int_X \underline{J}(x) \, dx $ and $\overline{J}(x) \geqslant \underline{J}(x)$, it follows that $\overline{J}(x) = \underline{J}(x)$ almost everywhere, and the Riemann integral

$$\int_Y f(x,y) \, dy$$

exists except perhaps for $x$ in a set of measure zero where $\underline{J}(x) < \overline{J}(x)$ with strict inequality.

As pointed out by David C. Ulrich, that does not mean that a value may be assigned arbitrarily to the "symbol" $\int_Y f(x,y) \, dy$ and the Theorem holds. What Zorich should have stated is let the function $F:X \to \mathbb{R}$ be defined as

$$F(x) = \int_Y f(x,y) \, dy$$

when that integral exists, and let it be defined as any value in the interval $[\underline{J}(x), \overline{J}(x)]$ when $\underline{J}(x) < \overline{J}(x)$ and the integral does not exist. Then instead of (1) the correct statement is

$$\tag{2} \int_{X \times Y} f = \int_X F(x) \, dx,$$

with something similar when the order of integration is reversed.

RRL
  • 92,835
  • 7
  • 70
  • 142
  • I do not exactly understand what exactly wrong in Zorich's argument. I mean the thing that you have written under the label "Correction of the Theorem (Zorich)" are exactly the same thing as the author points out in the remark that follows the theorem. – Our Feb 05 '18 at 09:28
  • And as far as I see, they are also the same thing as I have written in the comments to David. – Our Feb 05 '18 at 09:29
  • Ok, after thinking a bit the last sentences of your answer, I guess showing the iterated integral $\int_X dx \int_Y f(x,y) dy$ might sound as that $\int_Y f(x,y) dy$ is always exists, and I think this is the problem with Zorich's notation, if I understood correctly ? – Our Feb 05 '18 at 09:46
  • No, it's not the same as wht you've aid in comments. You never said anything about defining $F(x)$ to be $\int f(x,y),dy$ when the integral exists and something else otherwise. instead, your comments sounded as though when that integral does not exist it is equal to some value between the upper and lower integral. Big difference - one is nonsense, one is not. – David C. Ullrich Feb 05 '18 at 12:36
  • @onurcanbektas I don't know why you keep mentioning that famous remark in the book. (i) the theorem is false, and no "remark" changes that. (ii) the reason he says the above even though it's the same as what Zorich says in that remark is that that remark has not been included here. (iii) Just curious: If in fact the answer above is the same as that "remark" then in fact the remark states that the theorem is false! Is this so? – David C. Ullrich Feb 05 '18 at 12:50
  • @DavidC.Ullrich For $(ii)$, see my edit to the question. $(iii)$ Apparently, yes. – Our Feb 05 '18 at 13:14
  • @onurcanbektas That remark does not "decode" the meaning of the notation, it changes the meaning of the notation! He's effectively saying he's not going to prove the theorem he just stated, he's going to prove a different theorem. – David C. Ullrich Feb 05 '18 at 13:28
  • @onurcanbektas This is a bad way to state a theorem. Like if I said "Theorem: $2+2=\pi$. Remark: First we decode the meaning of the symbols: In the statement of the theorem the notation $\pi$ refers to the number $4$." That's awful. As opposed to "Theorem: Let $\pi=4$. Then $2+2=\pi$," which is mathematically correct, although perhaps an unfortunate notation. This is exactly the difference between what's in the book and what RRL said, to answer your question about that: The author doesn't prove the theorem that he stated, what he proves is the theorem RRL stated. – David C. Ullrich Feb 05 '18 at 13:40
  • @DavidC.Ullrich :) I see. Thanks for clarifying. – Our Feb 05 '18 at 14:53