11

so I have this integral to try and evaluate

$$(*)=\int_0^{\infty} \ln\left|\frac{x+A}{x+B}\right|\frac{x}{e^{C x}\pm1}dx$$

So far, I have managed to evaluate a very similar integral

$$\int_0^{\infty} \ln\left|\frac{x+A}{x+B}\right|\frac{x}{e^{C x}}dx =-\frac{\partial }{\partial C}\int_0^{\infty} \ln\left|\frac{x+A}{x+B}\right|\frac{1}{e^{C x}}dx=\frac{1}{C^2}\ln\left(\frac{A}{B}\right) + \left(\frac{A e^{AC}}{C}-\frac{e^{AC}}{C^2}\right)\text{Ei}(-CA) + \left(\frac{Be^{BC}}{C}-\frac{e^{BC}}{C^2}\right)\text{Ei}(-BC)$$

But as soon as I introduce the $\pm 1$ in the denominator, the standard techniques I am trying are not working as effectively as in the simplified case. Does anyone know how to solve it? Already you can see the presence of the exponential integral function $\text{Ei}(x)$ so I'm sure this integral is going to you some non standard functions. Having thought about it, it greatly depends on the sign of $A,B$ and $C$. Singularities pop up at the origin also when the denominator has the minus sign.

Thanks for any help/guidance in advance.

Update: So after playing around a bit further with things I managed to massage the positive denominator expression into the following form:

$$(*) = \left[\log\left(\frac{x+A}{x+B}\right)\left\{\frac{-1}{C^2}\text{Li}_2(-e^{Cx}) -\frac{x\log (e^{Cx}+1)}{C}+\frac{1}{2}x^2\right\} -\left(\frac{1}{2}x + \frac{B^2 \log(x+B)-A^2\log(x+A)}{2}\right)\right]^{\infty}_0 $$ $$ +\frac{(B-A)}{C^2}\int_0^\infty \left(\frac{\text{Li}_2(-e^{Cx})}{(x+A)(x+B)}+\frac{Cx \log(e^{Cx}+1)}{(x+A)(x+B)}\right) $$

$\text{Li}_2(x)$ being the Dilogarithm. A little unsure of how to deal with the final two integrals.

Update: Perhaps it is useful to use the expansion of the Dilogarithm for $x\leq -1$ as found here: $$\text{Li}_2(x) = -\frac{\pi^2}{6}-\frac{1}{2}\log(-x)^2-\sum_{k=1}^\infty \frac{1}{k^2 x^k} $$

Update: Ok, so I've been playing around with it for a while, and this seems to be the final expression:

\begin{equation} \begin{aligned} &\log\left(\frac{x+A}{x+B}\right)\left[\frac{-1}{C^2}\text{Li}_2(-e^{Cx})-\frac{x\log(e^{Cx +1})}{C} + \frac{x^2}{2}\right]^\infty_0 + \frac{(B-A)}{2}\left[x+ \frac{B^2 \log(x+B)-A^2\log(x+A)}{(A-B)}\right]^\infty_0 \\ &+ \left.\frac{(B-A)}{C^2}\left(\frac{-\pi^2}{6}\right) \frac{1}{(A-B)}\log\left(\frac{x+B}{x+A}\right)\right|^\infty_0 \\ &-\frac{(B-A)}{2C^2}\left[-Cx\left\{C(A+2x) - 2 \log(e^{Cx})\right\} + \log{(x+A)}\left[\log (e^{Cx})-C(x+A)\right]^2+\frac{C^2 x^2}{2}\right]^\infty_0\\ &-\frac{(B-A)}{C^2}\sum_{k=1}^\infty \frac{1}{k^2}\left[\frac{e^{BCk}\text{Ei}(-Ck(x+B))-e^{ACk}\text{Ei}(-Ck(x+A))}{A-B}\right]^\infty_0 \end{aligned} \end{equation}

Provided the previous update was right, and human error is not involved! Now it is just a matter of trying to simplify and evaluate this beast, and rerun with the negative denominator...

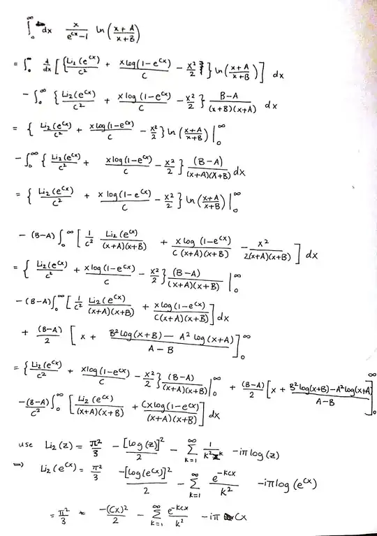
Update: So I ran the calculation with the negative denominator, and used the expansion as explained in the link above, and I've stumbled across a red flag. If anyone is able to explain it I'd be really grateful!

\begin{equation} \begin{aligned}(*) =& \left.\left\{\frac{\text{Li}_2(e^{Cx}}{C^2} + \frac{x\log(1-e^{Cx})}{C}-\frac{x^2}{2}\right\}\frac{B-A}{(x+A)(x+B)}\right|^\infty_0 + 2\frac{B-A}{2}\left[x+ \frac{B^2 \log(x+B) - A^2\log(x+A)}{A-B}\right]^\infty_0 \\ &- \left.\frac{B-A}{2}\left(\frac{\pi^2}{3(A-B)}\right)\log\left(\frac{x+B}{x+A}\right)\right|^\infty_0 + \frac{B-A}{C^2}\sum_{k=1}^{\infty}\frac{1}{k^2}\left[\frac{e^{BCk}\text{Ei}(-Ck(x+B)) - e^{ACk}\text{Ei}(-Ck(x+A))}{A-B}\right]^{\infty}_0\\ &+\frac{i\pi (B-A)}{C}\left[\frac{A\log(x+A)-B\log(x+B)}{A-B}\right]^\infty_0 \end{aligned} \end{equation}

The potential red herring is the imaginary term! The integral should be real (considering all the functions are, though I can imagine convergence issues from the denominator and logarithm), so I guess I haven't correctly used the absolute value of the logarithm correctly: I'm attaching hand working if someone can spot the mistake, or justify why there should be such an imaginary term; I'm attaching the working too. Page 1 Page 2

Mostafa Ayaz
  • 33,056
MKF
  • 632
  • Please try and take the time to properly format all the necessary expression in MathJax instead of using a picture. It would improve this very nice question – Yuriy S Apr 10 '18 at 08:19
  • After all this time why not use a computer algebra system? Using Mathematica: Integrate[Log[(x + a)/(x + b)] x/(Exp[c x + 1]), {x, 0, \[Infinity]}, Assumptions -> {a > 0, b > 0, c > 0}] results in $\frac{\log \left(\frac{a}{b}\right)+(a c-1) e^{a c} \text{Ei}(-a c)-(b c-1) e^{b c} \text{Ei}(-b c)}{e c^2}$ where $\text{Ei}$ is the exponential integral function. – JimB Sep 02 '23 at 04:00
  • Oh this is nice! back when I tried to use Mathematica a few years ago for this problem I couldn't get this integral to work - this is very nice :) thanks! – MKF Sep 15 '23 at 15:23

1 Answers1

1

I see this post is from a few years ago, but I thought it might be nice to provide a partial answer. I hope this isn't bad practice on this site.

@SangchulLee gave a magnificent expression for a similar integral I asked here.

He proves that $$I(w)=\int_{0}^{\infty} \frac{\ln(\frac{x+w}{x-w})}{e^x+1}dx=-w\ln(w)+w(1+\ln(2\pi))+2\pi\Im(\ln(\Gamma(\frac{iw}{2\pi}+\frac{1}{2})))$$

Note that $$I(w)=\int_{0}^{\infty} \frac{\ln(\frac{x+w}{x-w})}{e^x+1}dx=C\int_{0}^{\infty} \frac{\ln(\frac{x+\frac{w}{C}}{x-\frac{w}{C}})}{e^{Cx}+1}dx$$

So your integral (for the case of a fermion/ + in the denominator) is simply $$\frac{\partial}{\partial C}\frac{I(wC)}{C}$$

So this can be expressed in terms of the imaginary parts of the gamma function $\Gamma$ and its log derivative $\psi$. If your goal is computational efficiency I do not think this expression will help much, though as in my original post it provides a great asymptotic expression when $w\ll 1$. If you are interested in an efficient numerical computation, a basic tanh-sinh quadrature method over the intervals $[0,B],[B,\infty]$ is extremely fast/accurate.

Following the first step of their derivation, it seems that in your case if $A\neq B$ their derivation will not be applicable. My guess is that your interest in this integral is for computing a thermal potential, in which case you will typically have $A=B$.

For the boson case (- in the denominator), you may have luck modifying their derivation using this series expansion, for which you would end up with $\coth$

user62783
  • 349