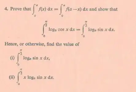
This is from an old S level paper. I am struggling with part (ii). Any hints?
-
2point (i) seems quite easy but (2) I can't solve – user Jan 05 '18 at 17:59
-
@gimusi this must be a mistake – operatorerror Jan 05 '18 at 19:08
-
@qbert sorry, what must be a mistake? – user Jan 05 '18 at 19:09
-
unless I am missing something, that this was asked on an exam for high school students – operatorerror Jan 05 '18 at 19:10
-
@qbert yes I think it's too difficult for high school level! – user Jan 05 '18 at 19:13
-
1If you are ok, you can accept the answer and set as solved. Thanks! – user Jan 08 '18 at 22:41
4 Answers
$\log_e$ for denoting the natural logarithm? Oh my dear.
$$ \int_{0}^{\pi/2}x\log\sin x\,dx = \int_{0}^{1}\frac{\arcsin(u)\log u}{\sqrt{1-u^2}}\,du\tag{1}$$ and by recalling $$ \arcsin(u) = \sum_{n\geq 0}\frac{\binom{2n}{n}}{4^n(2n+1)}u^{2n} \tag{2} $$ $$ \int_{0}^{1}\frac{u^{2n}\log(u)}{\sqrt{1-u^2}}\,du = \frac{\pi\binom{2n}{n}}{4^{n+1}}\left(H_{n-1/2}-H_n\right)\tag{3} $$ (where $(3)$ follows by differentiating Euler's Beta function) the LHS of $(1)$ is converted into a twisted hypergeometric series, according to the terminology introduced here. On the other hand, by exploiting the Fourier series of $\log\sin$ or Fourier-Chebyshev series expansions, the LHS of $(1)$ turns out to be $$ \int_{0}^{\pi/2}x\log\sin x\,dx = \color{red}{\frac{7}{16}\,\zeta(3)-\frac{\pi^2}{8}\,\log(2)}.\tag{4}$$ One may tackle the equivalent integral $\int_{0}^{\pi/2}x^2\cot(x)\,dx$ also by recalling that $\cot(x)=\frac{1}{x}+\sum_{n\geq 1}\left(\frac{1}{x-n\pi}+\frac{1}{x+n\pi}\right)$, but symmetry is definitely not enough to carve the $\zeta(3)$ term out of thin air.
- 361,689
-
-
2Setting $I=\int_{0}^{\pi/2}x\log\sin x,dx$ it follows $2I=\int_{0}^{\pi/2}x\log\tan x,dx-\frac{\pi^2}{4}\log 2$. I guess we can't solve $\int_{0}^{\pi/2}x\log\tan x,dx$ "easily". This method works only for point (i). – user Jan 05 '18 at 18:25
-
@gimusi BTW, this kind of integral with $x^n\log(\tan(x))$ is discussed in this paper of Elessaoui and Guennoun, where they show that they result in sum of Zeta function values at odd positive integers. – Paul Enta Jan 05 '18 at 18:36
-
From point (i) it can be easily shown that
$$\int_{0}^{\pi/2}\log\sin x\,dx=\int_{0}^{\pi/2}\log\cos x\,dx=-\frac{\pi}{2}\log 2$$
Now consider for point (ii)
$$I=\int_{0}^{\pi/2}x\log\sin x\,dx=\int_{0}^{\pi/2}\left(\frac{\pi}{2}-x\right)\log\cos x\,dx$$
thus
$$2I=\int_{0}^{\pi/2}x\log\sin x\,dx+\int_{0}^{\pi/2}\left(\frac{\pi}{2}-x\right)\log\cos x\,dx=$$ $$=\int_{0}^{\pi/2}x\log\tan x\,dx+\frac{\pi}{2}\int_{0}^{\pi/2}\log\cos x\,dx=\int_{0}^{\pi/2}x\log\tan x\,dx-\frac{\pi^2}{4}\log 2$$
since from the following reference from Paul Enta
$$\int_{0}^{\pi/2}x\log\tan x\,dx=\frac{7}{8}\,\zeta(3)$$
we finally have
$$I=\int_{0}^{\pi/2}x\log\sin x\,dx=\frac{7}{16}\,\zeta(3)-\frac{\pi^2}{8}\log 2$$
- 162,563
Using $\text{(1d)}$ from this answer $$ \log(\sin(x))=-\log(2)-\sum_{k=1}^\infty\frac{\cos(2kx)}k $$ we get $$ \begin{align} \int_0^{\pi/2}x\log(\sin(x))\,\mathrm{d}x &=-\int_0^{\pi/2}x\left(\log(2)+\sum_{k=1}^\infty\frac{\cos(2kx)}k\right)\,\mathrm{d}x\\ &=-\frac{\pi^2}8\log(2)-\sum_{k=1}^\infty\frac1k\int_0^{\pi/2}x\cos(2kx)\,\mathrm{d}x\\ &=-\frac{\pi^2}8\log(2)-\sum_{k=1}^\infty\frac1k\frac{(-1)^k-1}{4k^2}\\ &=-\frac{\pi^2}8\log(2)+\frac12\sum_{k=1}^\infty\frac1{(2k+1)^3}\\ &=\frac7{16}\zeta(3)-\frac{\pi^2}8\log(2) \end{align} $$
- 353,833
$\newcommand{\bbx}[1]{\,\bbox[15px,border:1px groove navy]{\displaystyle{#1}}\,} \newcommand{\braces}[1]{\left\lbrace\,{#1}\,\right\rbrace} \newcommand{\bracks}[1]{\left\lbrack\,{#1}\,\right\rbrack} \newcommand{\dd}{\mathrm{d}} \newcommand{\ds}[1]{\displaystyle{#1}} \newcommand{\expo}[1]{\,\mathrm{e}^{#1}\,} \newcommand{\ic}{\mathrm{i}} \newcommand{\mc}[1]{\mathcal{#1}} \newcommand{\mrm}[1]{\mathrm{#1}} \newcommand{\pars}[1]{\left(\,{#1}\,\right)} \newcommand{\partiald}[3][]{\frac{\partial^{#1} #2}{\partial #3^{#1}}} \newcommand{\root}[2][]{\,\sqrt[#1]{\,{#2}\,}\,} \newcommand{\totald}[3][]{\frac{\mathrm{d}^{#1} #2}{\mathrm{d} #3^{#1}}} \newcommand{\verts}[1]{\left\vert\,{#1}\,\right\vert}$ \begin{align} &\bbox[10px,#ffd]{\int_{0}^{\pi/2}x\ln\pars{\sin\pars{x}}\,\dd x} = \left.\Re\int_{x\ =\ 0}^{x\ =\ \pi/2} \bracks{-\ic\ln\pars{z}}\ln\pars{z - 1/z \over 2\ic} \,{\dd z \over \ic z}\,\right\vert_{\ z\ =\ \exp\pars{\ic x}} \\[5mm] = &\ \left. -\,\Re\int_{x\ =\ 0}^{x\ =\ \pi/2} \ln\pars{z}\ln\pars{{1 - z^{2} \over 2z}\,\ic} \,{\dd z \over z}\,\right\vert_{\ z\ =\ \exp\pars{\ic x}} \\[1cm] \stackrel{\mrm{as}\ \epsilon\ \to\ 0^{+}}{\sim}\,\,\,& \Re\int_{1}^{\epsilon} \bracks{\ln\pars{y} + {\pi \over 2}\,\ic}\ln\pars{1 + y^{2} \over 2y} \,{\dd y \over y} \\[2mm] + &\ \underbrace{\Re\int_{\pi/2}^{0}\bracks{\ln\pars{\epsilon} + \ic\theta} \bracks{-\ln\pars{2\epsilon} + \pars{{\pi \over 2} - \theta}\ic}\ic\,\dd\theta} _{\ds{\stackrel{\mrm{as}\ \epsilon\ \to\ 0^{+}}{\to}\,\,\,-\,{\pi^{2} \over 8}\,\ln\pars{2}}} \\[2mm] + &\ \Re\int_{\epsilon}^{1} \ln\pars{x}\bracks{\ln\pars{1 - x^{2} \over 2x} + {\pi \over 2}\,\ic} \,{\dd x \over x} \\[1cm] \stackrel{\mrm{as}\ \epsilon\ \to\ 0^{+}}{=}\,\,\,& -\,{\pi^{2} \over 8}\,\ln\pars{2} + \int_{0}^{1}\ln\pars{x}\ln\pars{1 - x^{2} \over 1 + x^{2}} \,{\dd x \over x} \\[5mm] = &\ -\,{\pi^{2} \over 8}\,\ln\pars{2} + {1 \over 4}\int_{0}^{1}\ln\pars{x}\ln\pars{1 - x \over 1 + x} {\dd x \over x} \\[5mm] = &\ -\,{\pi^{2} \over 8}\,\ln\pars{2} + {1 \over 4}\int_{0}^{1}\ln\pars{x}\, {\ln\pars{1 - x} \over x}\,\dd x - {1 \over 4}\int_{0}^{-1}\ln\pars{-x}\, {\ln\pars{1 - x} \over x}\,\dd x \\[5mm] = &\ -\,{\pi^{2} \over 8}\,\ln\pars{2} - {1 \over 4}\int_{0}^{1}\ln\pars{x}\, \mrm{Li}_{2}'\pars{x}\,\dd x + {1 \over 4}\int_{0}^{-1}\ln\pars{-x}\,\mrm{Li}_{2}'\pars{x}\,\dd x \\[5mm] = &\ -\,{\pi^{2} \over 8}\,\ln\pars{2} + {1 \over 4}\int_{0}^{1} \mrm{Li}_{3}'\pars{x}\,\dd x - {1 \over 4}\int_{0}^{-1}\mrm{Li}_{3}'\pars{x}\,\dd x \\[5mm] = &\ -\,{\pi^{2} \over 8}\,\ln\pars{2} + {1 \over 4}\sum_{n = 1}^{\infty}{1 - \pars{-1}^{n} \over n^{3}} = -\,{\pi^{2} \over 8}\,\ln\pars{2} + {1 \over 2}\sum_{{\large n\ =\ 1} \atop {\large n\ odd}}^{\infty} {1 \over n^{3}} \\[5mm] = &\ -\,{\pi^{2} \over 8}\,\ln\pars{2} + {1 \over 2}\bracks{\sum_{n = 1}^{\infty}{1 \over n^{3}} - \sum_{n = 1}^{\infty}{1 \over \pars{2n}^{3}}} = -\,{\pi^{2} \over 8}\,\ln\pars{2} + {7 \over 16}\sum_{n = 1}^{\infty}{1 \over n^{3}} \\[5mm] = &\ \bbx{-\,{\pi^{2} \over 8\phantom{^{2}}}\,\ln\pars{2} + {7 \over 16}\,\zeta\pars{3}} \approx -0.3292 \end{align}
- 94,079
