2

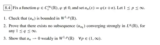
I am trying to solve this exercise from Brezis. enter image description here I proceeded as follow.

For 1) I have observed that $$\int_{\mathbb{R}}|u_n|^p(x) dx=\int_{a-n}^{b-n}|\varphi(x)|^p dx\le |(\max\varphi)|^p|a-b|\ \ \ \ \forall n$$ and the same holds for $u'_n$.

For 2) I have that for $n$ large enough $\varphi(x+n)=0$ for all $x$, so if it exists $u_{n_k}$ converging to some limit $u$, then $u=0$. But having for all $n$, $||u_n||_p=||\varphi||_p\ne0$ (since $\varphi\not\equiv0$) it holds for every subsequence which cannot converge.

For 3) I thought this way: from Banach-Alaoglu (since $W^{1,p}$ is reflexive for $p\in(1,\infty)$ it exists a subsquence $u_{n_k}$ converging weakly to 0. Since this argument could be performed for all subsequences of $u_n$ I deduce that the whole sequence $u_n\rightharpoonup 0$.

It is my solution correct? Thank you.

Guy Fsone
  • 25,237
aleio1
  • 1,065

1 Answers1

3

You did 1) and 2) correctly and for the last question you only to show that for all $v\in C_0^{\infty}(\Bbb R)$

$$\int_{\Bbb R} u_n vdx\to 0~~~~ and~~~~~\int_{\Bbb R} u'_n vdx\to 0$$

which is straightforward since for $n$ large enough we have

$$ u_n(x)=u'_n(x)=0$$ since $supp \phi\subset (a,b)$

Guy Fsone
  • 25,237
  • Thank you. This is because the dual of $W^{1,p}$ contains $C_0^\infty$? And why my solution for 3) doesn't work? – aleio1 Dec 29 '17 at 18:37
  • @aleio1 you answer quite confuse me why the convergence of subsequence implies the convergence of the sequence – Guy Fsone Dec 29 '17 at 18:45
  • I knew that if the convergence is induced by a topology then: if from every subsequence we can extract a further subsequence convergent to the same limit, then the sequence itself converges to that limit. – aleio1 Dec 29 '17 at 20:26
  • @Guy_Fsone could you help me to understand where I am wrong? – aleio1 Jan 03 '18 at 17:33
  • @aleio1 does the convergence of a subsequence implies the convergence – Guy Fsone Jan 09 '18 at 20:32
  • This is not true, but it holds something like this https://math.stackexchange.com/questions/397978/every-subsequence-of-x-n-has-a-further-subsequence-which-converges-to-x-the , doesn't It? – aleio1 Jan 10 '18 at 15:49
  • @aleio1 Ok I understand what you mean now. but it is not exactly what you did in your proof. – Guy Fsone Jan 11 '18 at 12:49