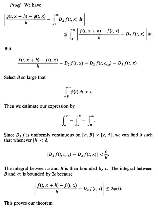
In the below proof in Lang's Undergraduate Analysis (Theorem 3.2 of Chapter 10 on p.287 of 1e), he talks about differentiation under the integral sign. There is a condition involving $\varphi$ and a condition involving $\psi$. I can't see where the condition involving $\varphi$ is used.
Explicitly, in order to say that I can move the derivative under the integral in $\frac{\partial}{\partial x}\int_a^\infty F(x,t)\, dt$, why do I require $F(x,t)$ is dominated by $\varphi(t)$ uniformly over $x$ such that $\int_a^\infty \varphi < \infty$?
