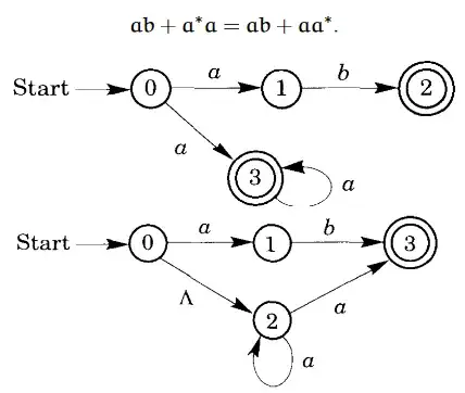
I'm studying nondeterministic finite automata, and I understand them in principle. Compared to deterministic FA, you can have more than one transition function with the same character starting from a single state and you can have "empty" transitions, and you can "choose" which one to follow based on the current string. So I came to an example which is confusing me.
So these two NFAs can recognize strings from the same alphabet. For example abaaaa.
What is confusing me is the first branch in both cases. For example in the first one something like this would happen:
Start, read a, go to 1, read b, go to 2, which is a final state, but the string isn't over. So what happens now? Does it go back to 0 and starts reading the final as? so 0, read a, go to 3, read a, go 3, read a, go 3, read a, go 3, finish?
Essentially, with NFA, can we follow two or more paths at the same time? (As if we "split" the string in two parts maybe?) Because otherwise I can't see how any string would be accepted in this case. ab would lead to state two, but the string isn't over, or a would lead to state 3, but then we would find b and the string would be rejected in that state.
In the second one how is the final state reached? We would still need to "go back" to 0.
