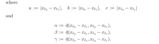
While studying the textbook of finite element method, there's one symbol I don't understand.
It is not listed in Pakin's Comprehensive Latex Symbol List.
I found it via wikipedia, see the following figure:
So it seems to be called "right arc less than"?
My questions are:
- What is the math meaning of it?
- What is the corresponding latex code of it?
- If possible, any relevant math textbooks about it?


