I'm learning Directional Derivative on Khan Academy. Here is the definition of Directional Derivative:
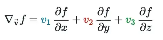
So the formula for calculating directional derivative is:
But as I knew, the dot product should be:
I don't understand this point. Please explain for me why the formula for calculating directional derivative doesn't have "cos($\alpha$)".


