10

The equation is $y' = 1 + 2y + xy^2$.

I've tried $mx+n$, $ax^m$, even $\tan x$ as candidates for particular solution where $a,m,n \in \mathbb Q$, but it did not work. Can anyone find one particular solution?

It is not homework. Thank you in advance.

Stefan Hansen
  • 26,160
  • 7
  • 62
  • 95
selin
  • 103
  • You can try to reduce it to a second order linear equation (http://en.wikipedia.org/wiki/Riccati_equation#Reduction_to_a_second_order_linear_equation) and then you should be able more easily to obtain an answer. – Dominik Nov 25 '12 at 11:38
  • sure but i have to solve it with help of ODEs – selin Nov 25 '12 at 11:42

3 Answers3

20

Approach $1$:

Let $y=-\dfrac{u'}{xu}$ ,

Then $y'=-\dfrac{u''}{xu}+\dfrac{u'}{x^2u}+\dfrac{(u')^2}{xu^2}$

$\therefore-\dfrac{u''}{xu}+\dfrac{u'}{x^2u}+\dfrac{(u')^2}{xu^2}=1-\dfrac{2u'}{xu}+\dfrac{(u')^2}{xu^2}$

$\dfrac{u''}{xu}-\dfrac{2u'}{xu}-\dfrac{u'}{x^2u}+1=0$

$xu''-(2x+1)u'+x^2u=0$

gives a 2nd-order linear ODE which is very difficult to solve, as http://eqworld.ipmnet.ru/en/solutions/ode/ode-toc2.htm cannot find any forms that fits this ODE, and kernel method cannot directly apply as some of the coefficients have nonlinear functions, even using Frobenius method will become troublesome as this involves solving linear recurrence relations with more than two terms and with variable coefficients.

So we can make comparison with another approach, as all Riccati equations with dependent variable $y$ have an interesting property that the substitution $y=\dfrac{1}{u}$ will brings the Riccati equations to the Riccati equations again, but the coefficients are rearranged.

Approach $2$:

Let $y=\dfrac{1}{u}$ ,

Then $y'=-\dfrac{u'}{u^2}$

$\therefore-\dfrac{u'}{u^2}=1+\dfrac{2}{u}+\dfrac{x}{u^2}$

$u'=-u^2-2u-x$

Let $u=\dfrac{v'}{v}$ ,

Then $u'=\dfrac{v''}{v}-\dfrac{(v')^2}{v^2}$

$\therefore\dfrac{v''}{v}-\dfrac{(v')^2}{v^2}=-\dfrac{(v')^2}{v^2}-\dfrac{2v'}{v}-x$

$\dfrac{v''}{v}+\dfrac{2v'}{v}+x=0$

$v''+2v'+xv=0$

The 2nd-order linear ODE obtained by Approach $2$ of course is much easier to solve than that obtained by Approach $1$, so adopt Approach $2$.

In fact this ODE can be solved by kernel method:

Let $v=\int_Ce^{xs}K(s)~ds$ ,

Then $(\int_Ce^{xs}K(s)~ds)''+2(\int_Ce^{xs}K(s)~ds)'+x\int_Ce^{xs}K(s)~ds=0$

$\int_Cs^2e^{xs}K(s)~ds+2\int_Cse^{xs}K(s)~ds+\int_Ce^{xs}K(s)~d(xs)=0$

$\int_C(s^2+2s)e^{xs}K(s)~ds+\int_CK(s)~d(e^{xs})=0$

$\int_C(s^2+2s)e^{xs}K(s)~ds+[e^{xs}K(s)]_C-\int_Ce^{xs}~d(K(s))=0$

$\int_C(s^2+2s)e^{xs}K(s)~ds+[e^{xs}K(s)]_C-\int_Ce^{xs}K'(s)~ds=0$

$[e^{xs}K(s)]_C-\int_C(K'(s)-(s^2+2s)K(s))e^{xs}~ds=0$

$\therefore K'(s)-(s^2+2s)K(s)=0$

$K'(s)=(s^2+2s)K(s)$

$\dfrac{K'(s)}{K(s)}=s^2+2s$

$\int\dfrac{K'(s)}{K(s)}ds=\int(s^2+2s)~ds$

$\ln K(s)=\dfrac{s^3}{3}+s^2+c_1$

$K(s)=ce^{\frac{s^3}{3}+s^2}$

$\therefore v=\int_Cce^{\frac{s^3}{3}+s^2+xs}~ds$

But since the above procedure in fact suitable for any complex number $s$ ,

$\therefore v_n=\int_{a_n}^{b_n}c_ne^{\frac{((p_n+q_ni)t)^3}{3}+((p_n+q_ni)t)^2+x(p_n+q_ni)t}~d((p_n+q_ni)t)$

$=(p_n+q_ni)c_n\int_{a_n}^{b_n}e^{\frac{(p_n^3+3p_n^2q_ni-3p_nq_n^2-q_n^3i)t^3}{3}+(p_n^2+2p_nq_ni-q_n^2)t^2+(p_n+q_ni)xt}~dt$

$=(p_n+q_ni)c_n\int_{a_n}^{b_n}e^{\frac{(p_n^2-3q_n^2)p_nt^3}{3}+(p_n^2-q_n^2)t^2+p_nxt}e^{\left(\frac{(3p_n^2-q_n^2)q_nt^3}{3}+2p_nq_nt^2+q_nxt\right)i}~dt$

For some $x$-independent real number choices of $a_n$ , $b_n$ , $p_n$ and $q_n$ such that:

$\lim\limits_{t\to a_n}e^{\frac{(p_n^2-3q_n^2)p_nt^3}{3}+(p_n^2-q_n^2)t^2+p_nxt}e^{\left(\frac{(3p_n^2-q_n^2)q_nt^3}{3}+2p_nq_nt^2+q_nxt\right)i}$

$=\lim\limits_{t\to b_n}e^{\frac{(p_n^2-3q_n^2)p_nt^3}{3}+(p_n^2-q_n^2)t^2+p_nxt}e^{\left(\frac{(3p_n^2-q_n^2)q_nt^3}{3}+2p_nq_nt^2+q_nxt\right)i}$

$\int_{a_n}^{b_n}e^{\frac{(p_n^2-3q_n^2)p_nt^3}{3}+(p_n^2-q_n^2)t^2+p_nxt}e^{\left(\frac{(3p_n^2-q_n^2)q_nt^3}{3}+2p_nq_nt^2+q_nxt\right)i}~dt$ converges

For $n=1$, the best choice is $a_1=-\infty$ , $b_1=\infty$ , $p_1=0$ , $q_1=-1$

$\therefore v_1=-ic_1\int_{-\infty}^\infty e^{-t^2}e^{\left(\frac{t^3}{3}-xt\right)i}~dt$

$=-ic_1\left(\int_{-\infty}^0e^{-t^2}e^{\left(\frac{t^3}{3}-xt\right)i}~dt+\int_0^\infty e^{-t^2}e^{\left(\frac{t^3}{3}-xt\right)i}~dt\right)$

$=-ic_1\left(\int_\infty^0e^{-(-t)^2}e^{\left(\frac{(-t)^3}{3}-x(-t)\right)i}~d(-t)+\int_0^\infty e^{-t^2}e^{\left(\frac{t^3}{3}-xt\right)i}~dt\right)$

$=-ic_1\left(\int_0^\infty e^{-t^2}e^{\left(-\frac{t^3}{3}+xt\right)i}~dt+\int_0^\infty e^{-t^2}e^{\left(\frac{t^3}{3}-xt\right)i}~dt\right)$

$=-ic_1\left(\int_0^\infty e^{-t^2}e^{-\left(\frac{t^3}{3}-xt\right)i}~dt+\int_0^\infty e^{-t^2}e^{\left(\frac{t^3}{3}-xt\right)i}~dt\right)$

$=C_1\int_0^\infty e^{-t^2}\cos\left(\dfrac{t^3}{3}-xt\right)dt$

Checking:

$\left(C_1\int_0^\infty e^{-t^2}\cos\left(\dfrac{t^3}{3}-xt\right)dt\right)''+2\left(C_1\int_0^\infty e^{-t^2}\cos\left(\dfrac{t^3}{3}-xt\right)dt\right)'+xC_1\int_0^\infty e^{-t^2}\cos\left(\dfrac{t^3}{3}-xt\right)dt$

$=-C_1\int_0^\infty t^2e^{-t^2}\cos\left(\dfrac{t^3}{3}-xt\right)dt+2C_1\int_0^\infty te^{-t^2}\sin\left(\dfrac{t^3}{3}-xt\right)dt+C_1\int_0^\infty xe^{-t^2}\cos\left(\dfrac{t^3}{3}-xt\right)dt$

$=-C_1\int_0^\infty(t^2-x)e^{-t^2}\cos\left(\dfrac{t^3}{3}-xt\right)dt+C_1\int_0^\infty2te^{-t^2}\sin\left(\dfrac{t^3}{3}-xt\right)dt$

$=-C_1\int_0^\infty e^{-t^2}\cos\left(\dfrac{t^3}{3}-xt\right)d\left(\left(\dfrac{t^3}{3}-xt\right)\right)+C_1\int_0^\infty2te^{-t^2}\sin\left(\dfrac{t^3}{3}-xt\right)dt$

$=-C_1\int_0^\infty e^{-t^2}~d\left(\sin\left(\dfrac{t^3}{3}-xt\right)\right)+C_1\int_0^\infty2te^{-t^2}\sin\left(\dfrac{t^3}{3}-xt\right)dt$

$=-C_1\left[e^{-t^2}\sin\left(\dfrac{t^3}{3}-xt\right)\right]_0^\infty+C_1\int_0^\infty\sin\left(\dfrac{t^3}{3}-xt\right)d\left(e^{-t^2}\right)+C_1\int_0^\infty2te^{-t^2}\sin\left(\dfrac{t^3}{3}-xt\right)dt$

$=-C_1\int_0^\infty2te^{-t^2}\sin\left(\dfrac{t^3}{3}-xt\right)dt+C_1\int_0^\infty2te^{-t^2}\sin\left(\dfrac{t^3}{3}-xt\right)dt$

$=0$ , correct!

For $n=2$, unfortunately, no such combinations of $a_n$ , $b_n$ , $p_n$ and $q_n$ can satisfy the above conditions.

So we apply another type of choice:

$v_n=C_n\biggl(k_1\int_{a_{n,1}}^{b_{n,1}}e^{\frac{(p_{n,1}^2-3q_{n,1}^2)p_{n,1}t^3}{3}+(p_{n,1}^2-q_{n,1}^2)t^2+p_{n,1}xt}e^{\Bigl(\frac{(3p_{n,1}^2-q_{n,1}^2)q_{n,1}t^3}{3}+2p_{n,1}q_{n,1}t^2+q_{n,1}xt\Bigr)i}~dt+k_2\int_{a_{n,2}}^{b_{n,2}}e^{\frac{(p_{n,2}^2-3q_{n,2}^2)p_{n,2}t^3}{3}+(p_{n,2}^2-q_{n,2}^2)t^2+p_{n,2}xt}e^{\Bigl(\frac{(3p_{n,2}^2-q_{n,2}^2)q_{n,2}t^3}{3}+2p_{n,2}q_{n,2}t^2+q_{n,2}xt\Bigr)i}~dt\biggr)$

For some $x$-independent constant choices of $k_1$ and $k_2$ and real number choices of $a_{n,1}$ , $b_{n,1}$ , $p_{n,1}$ , $q_{n,1}$ , $a_{n,2}$ , $b_{n,2}$ , $p_{n,2}$ and $q_{n,2}$ such that:

$\lim\limits_{t\to a_{n,1}}e^{\frac{(p_{n,1}^2-3q_{n,1}^2)p_{n,1}t^3}{3}+(p_{n,1}^2-q_{n,1}^2)t^2+p_{n,1}xt}e^{\Bigl(\frac{(3p_{n,1}^2-q_{n,1}^2)q_{n,1}t^3}{3}+2p_{n,1}q_{n,1}t^2+q_{n,1}xt\Bigr)i}$ is $x$-independent

$\lim\limits_{t\to b_{n,1}}e^{\frac{(p_{n,1}^2-3q_{n,1}^2)p_{n,1}t^3}{3}+(p_{n,1}^2-q_{n,1}^2)t^2+p_{n,1}xt}e^{\Bigl(\frac{(3p_{n,1}^2-q_{n,1}^2)q_{n,1}t^3}{3}+2p_{n,1}q_{n,1}t^2+q_{n,1}xt\Bigr)i}$ is $x$-independent

$\int_{a_{n,1}}^{b_{n,1}}e^{\frac{(p_{n,1}^2-3q_{n,1}^2)p_{n,1}t^3}{3}+(p_{n,1}^2-q_{n,1}^2)t^2+p_{n,1}xt}e^{\Bigl(\frac{(3p_{n,1}^2-q_{n,1}^2)q_{n,1}t^3}{3}+2p_{n,1}q_{n,1}t^2+q_{n,1}xt\Bigr)i}~dt$ converges

$\lim\limits_{t\to a_{n,2}}e^{\frac{(p_{n,2}^2-3q_{n,2}^2)p_{n,2}t^3}{3}+(p_{n,2}^2-q_{n,2}^2)t^2+p_{n,2}xt}e^{\Bigl(\frac{(3p_{n,2}^2-q_{n,2}^2)q_{n,2}t^3}{3}+2p_{n,2}q_{n,2}t^2+q_{n,2}xt\Bigr)i}$ is $x$-independent

$\lim\limits_{t\to b_{n,2}}e^{\frac{(p_{n,2}^2-3q_{n,2}^2)p_{n,2}t^3}{3}+(p_{n,2}^2-q_{n,2}^2)t^2+p_{n,2}xt}e^{\Bigl(\frac{(3p_{n,2}^2-q_{n,2}^2)q_{n,2}t^3}{3}+2p_{n,2}q_{n,2}t^2+q_{n,2}xt\Bigr)i}$ is $x$-independent

$\int_{a_{n,2}}^{b_{n,2}}e^{\frac{(p_{n,2}^2-3q_{n,2}^2)p_{n,2}t^3}{3}+(p_{n,2}^2-q_{n,2}^2)t^2+p_{n,2}xt}e^{\Bigl(\frac{(3p_{n,2}^2-q_{n,2}^2)q_{n,2}t^3}{3}+2p_{n,2}q_{n,2}t^2+q_{n,2}xt\Bigr)i}~dt$ converges

For $n=2$, the best choice is $a_{2,1}=0$ , $b_{2,1}=\infty$ , $p_{2,1}=-1$ , $q_{2,1}=0$ , $a_{2,2}=0$ , $b_{2,2}=\infty$ , $p_{2,2}=0$ , $q_{2,2}=-1$

$\therefore v_2=C_2\biggl(k_1\int_0^\infty e^{-\frac{t^3}{3}+t^2-xt}~dt+k_2\int_0^\infty e^{-t^2}e^{\left(\frac{t^3}{3}-xt\right)i}~dt\biggr)$

$=C_2\int_0^\infty\biggl(k_1e^{-\frac{t^3}{3}+t^2-xt}+k_2e^{-t^2}\cos\biggl(\dfrac{t^3}{3}-xt\biggr)+k_2ie^{-t^2}\sin\biggl(\dfrac{t^3}{3}-xt\biggr)\biggr)dt$

$\because\left(\int_0^\infty e^{-\frac{t^3}{3}+t^2-xt}~dt\right)''+2\left(\int_0^\infty e^{-\frac{t^3}{3}+t^2-xt}~dt\right)'+x\int_0^\infty e^{-\frac{t^3}{3}+t^2-xt}~dt$

$=\int_0^\infty t^2e^{-\frac{t^3}{3}+t^2-xt}~dt-2\int_0^\infty te^{-\frac{t^3}{3}+t^2-xt}~dt+\int_0^\infty xe^{-\frac{t^3}{3}+t^2-xt}~dt$

$=\int_0^\infty(t^2-2t+x)e^{-\frac{t^3}{3}+t^2-xt}~dt$

$=-\int_0^\infty e^{-\frac{t^3}{3}+t^2-xt}~d\biggl(-\dfrac{t^3}{3}+t^2-xt\biggr)$

$=-\left[e^{-\frac{t^3}{3}+t^2-xt}\right]_0^\infty$

$=1$

$\because\left(\int_0^\infty e^{-t^2}\sin\left(\dfrac{t^3}{3}-xt\right)dt\right)''+2\left(\int_0^\infty e^{-t^2}\sin\left(\dfrac{t^3}{3}-xt\right)dt\right)'+x\int_0^\infty e^{-t^2}\sin\left(\dfrac{t^3}{3}-xt\right)dt$

$=-\int_0^\infty t^2e^{-t^2}\sin\left(\dfrac{t^3}{3}-xt\right)dt-2\int_0^\infty te^{-t^2}\cos\left(\dfrac{t^3}{3}-xt\right)dt+\int_0^\infty xe^{-t^2}\sin\left(\dfrac{t^3}{3}-xt\right)dt$

$=-\int_0^\infty(t^2-x)e^{-t^2}\sin\left(\dfrac{t^3}{3}-xt\right)dt-\int_0^\infty2te^{-t^2}\cos\left(\dfrac{t^3}{3}-xt\right)dt$

$=-\int_0^\infty e^{-t^2}\sin\left(\dfrac{t^3}{3}-xt\right)d\left(\left(\dfrac{t^3}{3}-xt\right)\right)-\int_0^\infty2te^{-t^2}\cos\left(\dfrac{t^3}{3}-xt\right)dt$

$=\int_0^\infty e^{-t^2}~d\left(\cos\left(\dfrac{t^3}{3}-xt\right)\right)-\int_0^\infty2te^{-t^2}\cos\left(\dfrac{t^3}{3}-xt\right)dt$

$=\left[e^{-t^2}\cos\left(\dfrac{t^3}{3}-xt\right)\right]_0^\infty-\int_0^\infty\cos\left(\dfrac{t^3}{3}-xt\right)d\left(e^{-t^2}\right)-\int_0^\infty2te^{-t^2}\cos\left(\dfrac{t^3}{3}-xt\right)dt$

$=-1+\int_0^\infty2te^{-t^2}\cos\left(\dfrac{t^3}{3}-xt\right)dt-\int_0^\infty2te^{-t^2}\cos\left(\dfrac{t^3}{3}-xt\right)dt$

$=-1$

$\therefore$ choose $k_1=1$ and $k_2=-i$

Hence $v_2=C_2\int_0^\infty\biggl(e^{-\frac{t^3}{3}+t^2-xt}-ie^{-t^2}\cos\biggl(\dfrac{t^3}{3}-xt\biggr)+e^{-t^2}\sin\biggl(\dfrac{t^3}{3}-xt\biggr)\biggr)dt$

Hence $v=C_1\int_0^\infty e^{-t^2}\cos\biggl(\dfrac{t^3}{3}-xt\biggr)dt+C_2\int_0^\infty\biggl(e^{-\frac{t^3}{3}+t^2-xt}-ie^{-t^2}\cos\biggl(\dfrac{t^3}{3}-xt\biggr)+e^{-t^2}\sin\biggl(\dfrac{t^3}{3}-xt\biggr)\biggr)dt=C_1\int_0^\infty e^{-t^2}\cos\biggl(\dfrac{t^3}{3}-xt\biggr)dt+C_2\int_0^\infty\biggl(e^{-\frac{t^3}{3}+t^2-xt}+e^{-t^2}\sin\biggl(\dfrac{t^3}{3}-xt\biggr)\biggr)dt$

$\therefore y=\dfrac{C_1\int_0^\infty e^{-t^2}\cos\biggl(\dfrac{t^3}{3}-xt\biggr)dt+C_2\int_0^\infty\biggl(e^{-\frac{t^3}{3}+t^2-xt}+e^{-t^2}\sin\biggl(\dfrac{t^3}{3}-xt\biggr)\biggr)dt}{\left(C_1\int_0^\infty e^{-t^2}\cos\biggl(\dfrac{t^3}{3}-xt\biggr)dt+C_2\int_0^\infty\biggl(e^{-\frac{t^3}{3}+t^2-xt}+e^{-t^2}\sin\biggl(\dfrac{t^3}{3}-xt\biggr)\biggr)dt\right)'}$

$y=\dfrac{C_1\int_0^\infty e^{-t^2}\cos\biggl(\dfrac{t^3}{3}-xt\biggr)dt+C_2\int_0^\infty\biggl(e^{-\frac{t^3}{3}+t^2-xt}+e^{-t^2}\sin\biggl(\dfrac{t^3}{3}-xt\biggr)\biggr)dt}{C_1\int_0^\infty te^{-t^2}\sin\biggl(\dfrac{t^3}{3}-xt\biggr)dt-C_2\int_0^\infty\biggl(te^{-\frac{t^3}{3}+t^2-xt}+te^{-t^2}\cos\biggl(\dfrac{t^3}{3}-xt\biggr)\biggr)dt}$

$y=\dfrac{\int_0^\infty e^{-t^2}\cos\biggl(\dfrac{t^3}{3}-xt\biggr)dt+\dfrac{C_2}{C_1}\int_0^\infty\biggl(e^{-\frac{t^3}{3}+t^2-xt}+e^{-t^2}\sin\biggl(\dfrac{t^3}{3}-xt\biggr)\biggr)dt}{\int_0^\infty te^{-t^2}\sin\biggl(\dfrac{t^3}{3}-xt\biggr)dt-\dfrac{C_2}{C_1}\int_0^\infty\biggl(te^{-\frac{t^3}{3}+t^2-xt}+te^{-t^2}\cos\biggl(\dfrac{t^3}{3}-xt\biggr)\biggr)dt}$

$y=\dfrac{\int_0^\infty e^{-t^2}\cos\biggl(\dfrac{t^3}{3}-xt\biggr)dt+C\int_0^\infty\biggl(e^{-\frac{t^3}{3}+t^2-xt}+e^{-t^2}\sin\biggl(\dfrac{t^3}{3}-xt\biggr)\biggr)dt}{\int_0^\infty te^{-t^2}\sin\biggl(\dfrac{t^3}{3}-xt\biggr)dt-C\int_0^\infty\biggl(te^{-\frac{t^3}{3}+t^2-xt}+te^{-t^2}\cos\biggl(\dfrac{t^3}{3}-xt\biggr)\biggr)dt}$

doraemonpaul
  • 16,488
2

This link solve it . The General Solutions of Linear ODE and Riccati Equation http://arxiv.org/abs/1006.4804

Emery
  • 21
1

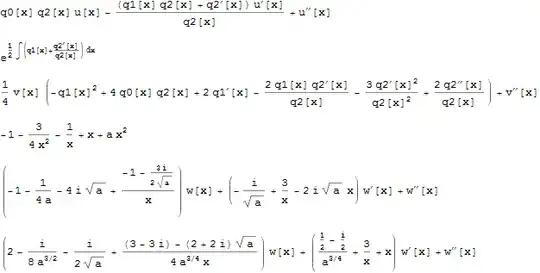
Let us consider a generic Riccati equation: \begin{equation} y^{'}(x)= q_0(x) + q_1(x) y(x) + q_2(x) y(x)^2 \end{equation} As Wikipedia teaches us the substitution $y(x)=-1/q_2(x) u^{'}(x)/u(x)$ reduces the ODE above to a following 2nd order linear ODE: \begin{equation} u^{''}(x) - u^{'}(x)\left(\frac{q_2^{'}(x)}{q_2(x)}+q_1(x) \right) + q_0(x) q_2(x) u(x) = 0 \end{equation} Now the standard procedure is to reduce the linear ODE above to the normal form (i.e. such where the coeffiecient at the first derivative vanishes). This is done via $u(x)=\sqrt{q_2(x)} \exp(1/2 \int q_1(x) dx) \cdot v(x)$. This results in a following ODE: \begin{equation} v^{''}(x) + \frac{1}{4}\left( 4 q_0(x) q_2(x)+2 q_1'(x)-\frac{2 q_1(x) q_2'(x)}{q_2(x)}-q_1(x)^2+\frac{2 q_2''(x)}{q_2(x)}-\frac{3 q_2'(x)^2}{q_2(x)^2}\right) \cdot v(x)=0 \end{equation}

At this stage we have to input our coefficients. We consider a slightly more generic equation given by: \begin{eqnarray} q_2(x)&=&x\\ q_1(x)&=&2\\ q_1(x)&=& 1+a x \end{eqnarray} Then the coefficient at $v(x)$ in the ODE above reads: \begin{equation} \frac{1}{4} \left(\dots \right)= a x^2+x-1-\frac{1}{x} - \frac{3}{4} \frac{1}{x^2} \end{equation} Now from Hunt for exact solutions of second order ordinary differential equations with varying coefficients. we know that the equation above is mapped onto the biconfluent Heun equation through a following substitution: \begin{equation} v(x)= \exp\left( \frac{-\imath}{2 \sqrt{A}} x(A_0+A x)\right) \cdot x^{1/2\left(1+\sqrt{1-4 B} \right)} \cdot w(x) \end{equation} where $(A,A_0,A_1,A_2,B)=(a,1,-1,-1,-3/4)$. By doing this we obtain the following : \begin{equation} w^{''}(x)+w^{'}(x) \left( -\frac{\imath}{\sqrt{a}}+\frac{3}{x} - 2 \imath \sqrt{a} x\right) + w(x) \left( \frac{-1-\frac{3 \imath}{2 \sqrt{a}}}{x}-4 \imath \sqrt{a}-\frac{1}{4 a}-1\right)=0 \end{equation} This is already almost the biconfluent equation https://dlmf.nist.gov/31.12 except for one subtelty, we have to rescale the variable $x$ appropriately . We take ${\mathfrak T}:= (-1)^{1/4}/(\sqrt{2} a^{1/4})$ and we change the abscissa $x \rightarrow {\mathfrak T} x$ and $d/d x \rightarrow 1/{\mathfrak T} d/dx$ . This results in: \begin{equation} w^{''}(x)+w^{'}(x) \left( \frac{\frac{1}{2}-\frac{i}{2}}{a^{3/4}}+x+\frac{3}{x}\right) + w(x) \left( \frac{(3-3 i)-(2+2 i) \sqrt{a}}{4 a^{3/4} x}-\frac{i}{8 a^{3/2}}-\frac{i}{2 \sqrt{a}}+2\right)=0 \end{equation} which is already the biconluent Heun equation.

For those who do not trust my calculations I enclose a Mathematica code snippet that reproduces those results.

Clear[y]; Clear[q2]; Clear[q1]; Clear[q0]; Clear[u];

y[x_] = -1/q2[x] u'[x]/u[x];
ll = Numerator[Together[y'[x] - (q0[x] + q1[x] y[x] + q2[x] y[x]^2)]];
myeqn = Collect[ll/Coefficient[ll, u''[x]], {u[x], u'[x], u''[x]}, 
  Simplify]



Clear[m]; Clear[u]; Clear[v]; Clear[w];
m[x_] = FullSimplify[
  Exp[-1/2 Integrate[
     Coefficient[myeqn, u'[x]]/Coefficient[myeqn, u''[x]], x]]]
u[x_] = m[x] v[x];
ll = Simplify[myeqn/m[x]];
myeqn1 = Collect[ll/Coefficient[ll, v''[x]], {v[x], v'[x], v''[x]}, 
  Simplify]

q2[x_] = x;
q1[x_] = 2;
q0[x_] = 1 + a x;
Collect[Coefficient[myeqn1, v[x]], x^_]

{A, A0, A1, A2, B} = {a, 1, -1, -1, -3/4};
M[x_] = Exp[-I/(2 Sqrt[A]) x (A0 + A x)] x^(1/2 (1 + Sqrt[1 - 4 B]));
v[x_] = M[x] w[x];
myeqn2 = Collect[Simplify[myeqn1/M[x]], {w[x], w'[x], w''[x], x^_}, 
  Expand]

Clear[f]; TT = (-1)^(1/4)/(Sqrt[2] a^(1/4));
f[x_] = TT x;
subst = {x :> f[x], 
   Derivative[1][w][x] :> 1/f'[x] Derivative[1][w][x], 
   Derivative[2][w][x] :> -f''[x]/(f'[x])^3 Derivative[1][w][x] + 
     1/(f'[x])^2 Derivative[2][w][x]};
Collect[TT^2 (myeqn2 /. subst /. w[f[x]] :> w[x]), {w[x], w'[x], 
  w''[x], x^_}, Simplify]

enter image description here

Przemo
  • 11,971
  • 1
  • 25
  • 56