I came across this integro-differential equation to solve $$\frac{du(x;t)}{dt}=-\lambda\int_0^xu(\xi;t)\;d\xi\tag{1}$$ under the initial condition $u(x;0)=f(x)$ where $x$ is a parameter, $\lambda$ is a constant, and $0<t<\infty$.
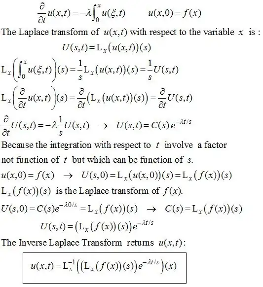
My first thought is that I can just directly integrate the equation to obtain $$u(x;t)=-\lambda\int_0^t\int_0^xu(\xi;\tau)\;d\xi\,d\tau\;.\tag{2}$$ This equation is highly implicit and an explicit expression is desired. So then I thought of using Laplace transforms instead. Let $U(\cdot)$ be the Laplace transform of $u(\cdot)$, and $s$ be the complex co-variable of the real variable $t$, then $$s\,U(x;s)-f(x)=-\lambda\,\int_0^xU(\xi;s)\,d\xi\tag{3}$$ which can be converted to the differential equation $$s\,U'(x;s)+\lambda\,U(x;s)=f'(x)\tag{4}$$ where the derivative is now with respect to $x$. Equation $(4)$ is easily solvable. Though I am uncertain if I did the following Laplace transform correctly, $$\mathscr{L}\left\{\int_0^xu(\xi;t)\,d\xi\right\}=\int_0^xU(\xi;s)\,d\xi\;.\tag{5}$$ I figured since the integration is over the parameter instead of the transforming variable I could bring it into the integral under the heuristic that the Laplace transform of a sum is the sum of the Laplace transforms, but I am unsure of this.
Any insight on any of this or alternative methods to solve Equation $(1)$ is welcome.
