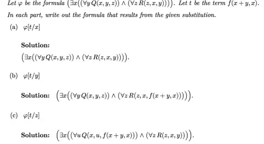
0

enter image description here

Midterm coming up later today. Don't understand how in a) the formula doesn't change. I know that x+y is in the scope of Q(x,y,z) but then we're suppose to introduce a new variable and substitute, right?

Please explain please!!

JiHua
  • 63

2 Answers2

1

Hint: The notation $\varphi[t/x]$ denotes that in the formula $\varphi$ all free occurrences of the variable $x$ are replaced by $t$, possibly involving renaming to avoid name clashes. Is $x$ free in the $\varphi$ that is mentioned?

Hans Hüttel
  • 4,381
  • Ah I get it now. For a), all x's are bounded, so there's no free occurrence of x, thus we don't substitute. – JiHua Jun 08 '17 at 13:19
  • For c) though, I understand that a new variable u is introduced to deal with the y in f(x+y,x), but why didn't we introduce another variable for x? – JiHua Jun 08 '17 at 13:20
  • nvm, I think it applies to the nearest scope – JiHua Jun 08 '17 at 13:26
1

See Herbert Enderton, A Mathematical Introduction to Logic, Academic Press (2nd ed., 2001), page 112, for details.

We need a formal definition of substitution:

  1. For atomic $α$, $α[t/x]$ is the expression obtained from $α$ by replacing the variable $x$ by $t$.

  2. Obvious clauses for the connectives.

  3. $(∀y \ α)[t/x] = ∀y \ α$, if $x = y, \ \ \ $ and $ \ \ \ = ∀y \ (α[t/x])$, if $x \ne y$; and the same for $\exists$.

Thus, in case (a) above, $x=y$ in $\varphi := \exists x \ \alpha(x)$ and the result is: $\exists x \ \alpha(x)$.


Obviously, we can apply the technique of "alphabetic variant" [see Enderton, page 126] to get a formula $\varphi'$, which differs from $\varphi$ only in the choice of quantified variables, i.e. $\varphi' := \exists w \ \alpha(w)$, such that $\varphi$ and $\varphi'$ are equivalent and $t$ is substitutable for [see page 113] $x$ in $\varphi'$.

But in this case the substitution will be: $\varphi' [t/x]$.