3

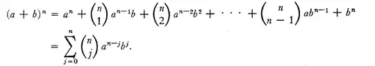
Question: Prove the Binomial theorem: if $a$ and $b$ are any numbers and $n$ is a natural number, then: enter image description here

The Proof:

enter image description here

I was able to derive up to the last line of the proof, but am confused about the final line where after factoring the summation using the expression:

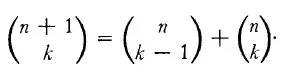
enter image description here

I do not understand why exactly they set the upper limit of the summation in the final line to $j= n +1 $ . The second to last line also has the upper limit of $j = n$ in the first part of the summation. Does it not matter? Or is it because, I am allowed to set the limit in such a way so that the last line's equation holds, in which case the limit makes sense. Am I missing something?

Oiler
  • 561

1 Answers1

4

For $j=1$ to $n$ use the formula : ${n+1 \choose k}={n \choose k-1}+{n \choose k}$ as you indicated.

So : $\sum_{j=1}^{n} \left[{n \choose j}+{n \choose j-1} \right]a^{n+1-j}b^j =\sum_{j=1}^{n} {n+1 \choose j}a^{n+1-j}b^j $

We have to add to this the first term of the first sum and the last term of the last sum : ${n \choose 0}a^{n+1}b^0 + {n \choose n}a^{0}b^{n+1}$ , knowing that ${n \choose 0}={n \choose n}={n+1 \choose 0}={n+1 \choose n+1}=1$ .Then we get :

$\sum_{j=0}^{n+1} {n+1 \choose j}a^{n+1-j}b^j $

Rutger Moody
  • 2,517
  • I had the exact same question as this poster. I don’t understand the step where you say “We have to add to this the first term of the first sum and the last term of the last sum.” Why do we have to do that? I also don’t see how the sum and identities that follow relate to the adding of first and last terms. I’m not daft, I have lots of math in my background, but this just does not click with me. – Sciolism Apparently Aug 28 '22 at 01:25
  • 1
    @SciolismApparently 'we have to add' is because I started with the sum from $j=1$ to $n$. These are the values of $j$ that appear in both sums, so they can be added. What we 'have to add' to this is the term for $j=0$ from the first sum and the term for $j=n+1$ from the second sum. The calculation shows we can do this without having to alter the expression under the summation sign so that we are left with summation between boundaries $0$ and $n+1$ with the same expression ${n+1 \choose j}a^{n+1-j}b^j$ under the summation sign. – Rutger Moody Aug 28 '22 at 16:32
  • 1
    Just like when I’m doing these problems, I find I struggle with something, but when revealed by the solution manual (or you) I feel like an idiot. Quite literally I spent a ton of time last night on a problem from the same set of exercises. I looked at the answer afterward and it said “Subtract (ii) from part (i).” His solutions are so elegant, so clever, while mine look like a high schooler did it. In grad school, I excelled at real and complex analysis yet found Algebra inscrutable. But as a review self study, I definitely chose the right book. – Sciolism Apparently Aug 29 '22 at 18:09