I would like to understand the big picture in mathematics. Lie groups and Lie algebras seem to play a central role in bridging analysis and algebra. I'm curious to understand, intuitively, why there are 4 classical Lie groups/algebras $A_{n},B_{n},C_{n},D_{n}$ and what are their various natures.
- $A_{n}$ special linear Lie algebra $\mathfrak {sl}_{n+1}$
- $B_{n}$ odd-dimensional special orthogonal Lie algebra $\mathfrak {so}_{2n+1}$
- $C_{n}$ symplectic Lie algebra $\mathfrak {sp}_{2n}$
- $D_{n}$ even-dimensional special orthogonal Lie algebra $\mathfrak {so}_{2n}$
These writings raise my curiosity:
- Each of the four types $W, S, H, K$ of simple primitive Lie algebras $(L, L_{0})$ correspond to the four most important types of geometries of manifolds: all manifolds, oriented manifolds, symplectic and contact manifolds. Victor Kac, page 20.
- Whenever we pick a Dynkin diagram and a field we get a geometry: $A_{n}$ projective, $B_{n}$ $D_{n}$ conformal, $C_{n}$ symplectic. John Baez, in his blog.
- John Baez, in writing about the octonions, combines the orthogonal Lie algebras/groups so as to have three families. These arise naturally as symmetry groups of projective spaces over $\mathbb{R}$, $\mathbb{C}$, and $\mathbb{H}$, respectively. @JakobH and @arctic-tern discuss that at this post.
I imagine that I could study the associated Weyl groups and the infinite families of polytopes (simplexes, cross-polytopes, hypercubes, demicubes) which they are symmetry groups for. I write my thoughts about that here. I imagine that I should study the bilinear and sesquilinear forms as described in this Wikipedia article on the classical groups.
Concretely, I've been looking at the Dynkin diagrams and learning how they relate to the Cartan matrices and the orthogonal bases used to describe the root systems. The Dynkin diagrams are, in each case, chains that differ only at one end. The links in the chain show that two fundamental roots are not orthogonal but differ by 120 degrees. I think the associated Cartan matrix can be thought of as describing the looseness in the root system, that is, the number of times that a root $\alpha$ can be added to $-\beta$ and stay within the root system. The Cartan matrix needs to describe an independent basis and thus needs to be nondegenerate with determinant nonzero, and in fact, we can write the Cartan matrix as $D\cdot S$ where $S$ is positive-definite. We can thereby show that if the Dynkin diagram grows in certain ways, for example, if it forms a cycle, then the determinant will become zero, the system will collapse. The determinant of the $n\times n$ Cartan matrix for a chain grows by the recursion formula $d_{n+1}=2d_{n}-d_{n-1}$, which is to say, $d_{n}=(d_{n-1}+d_{n+1})/2$. In the case of $A_{n}$ the initial conditions are $d_{1}=2$ and $d_{2}=3$ so it grows further $4,5,6...$. But in the case of $B_{n}$ and $C_{n}$ we have $d_{1}=2$ and $d_{2}=2$ and so the determinants stay constant $2,2,2...$ and likewise for $D_{n}$ we have $4,4,4...$ The point is that the one end of the chain constrains what is possible at the other end of the chain. The constraint is given by the fact that the wrong link at the end will make the whole system collapse. It seems like a system for propagating a signal or for describing entanglement.
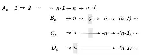
But what I'm trying to understand is how to explain the four possible options for the Dynkin diagrams and what they imply about the characteristics of the Lie algebras/groups. I am trying to explore the relationship between the Cartan matrices and the fundamental roots $\left \{ e_{i}-e_{i+1} | 1\leq i < n\right \}$ with each diagram distinguished by an additional root as follows:
- $A_{n}: e_{n}-e_{n+1}$
- $B_{n}: e_{n}$
- $C_{n}: 2e_{n}$
- $D_{n}: e_{n-1}+e_{n}$
Each of these new roots maintains an independent system of roots but the cases $B_{n}, C_{n}, D_{n}$ "economize" and thereby compromise the options for expanding the system.
Finally, I'm noticing based on what I've read at Wikipedia about positive-definite matrices that the formula $z^{\mathrm{T}}Sz=0$, with $D\cdot S$ equalling the Cartan matrix as discussed above, seems to work like a formula in logic. For example, for $A_{2}$ we get $z_{1}^{2}+(z_{1}-z_{2})^{2}+z_{2}^{2}=0$ forcing $z_{1}=0,z_{1}=z_{2},z_{2}=0$, which means that the vector $z=0$. Whereas for a cycle we could get $(z_{1}-z_{2})^{2}+(z_{2}-z_{3})^{2}+(z_{3}-z_{1})^{2}=0$ allowing a degenerate, nonzero solution $z_{1}=z_{2}=z_{3}$. Setting
$S = \begin{pmatrix} k & \frac{-1}{k}\\ \frac{-1}{k} & 1 \end{pmatrix}$
to handle the cases $A_{2} (k=1), B_{2} (k=2), G_{2} (k=3)$, we get the equation
$(1-\frac{k}{4})z_{2}^2+k(z_{1}-\frac{z_{2}}{2})^2=0$
which forces us to have solutions $z_{2}=0$ and $z_{1}=z_{2}/2$ and also shows that we we will have degenerate solutions for $k\geq 4$.
I have yet to find an intuitive explanation why there are 4 classical Lie algebras/groups. I would very much appreciate one. Otherwise, I suspect an answer might be found by working from the most concrete vantage point rather than the most abstract one. Thank you for helping me.






