Since
$$-1 \leq -\sin x \leq 1, \ \ \ 1/e\leq e^{-\sin x}\leq e$$
Thus,
$$\frac{4\cos{x}}{2x+4\cos{x}+\sin{2x}}\cdot\frac{1}{e}\leq \frac{4\cos{x}}{2x+4\cos{x}+\sin{2x}}e^{-\sin{x}}\leq\frac{4\cos{x}}{2x+4\cos{x}+\sin{2x}}e$$
We know that
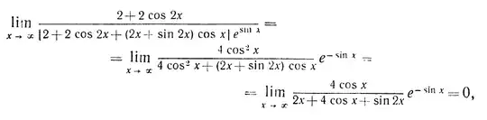
$$\lim_{x\to\infty}\frac{4\cos{x}}{2x+4\cos{x}+\sin{2x}}=0$$
Thus by Squeeze Theorem,
$$\lim_{x\to\infty}\frac{4\cos{x}}{2x+4\cos{x}+\sin{2x}}e^{-\sin{x}}=0$$
Nonexistence of the limit of $e^{-\sin{x}}$ does not imply that the limit of the whole expression doesn't exist.
For instance, limit of $(-1)^n$ as $n$ goes to $\infty$ does not exist.
But, limit of $\frac{(-1)^n}{n}$ does exist, and it is equal to $0$, which can also be proven by using the Squeeze Theorem.
There seems to be nothing wrong with the original question.
EDIT
After reading the edited post, I was very surprised to find an example where L'Hopital's rule doesn't really seem to work!
I looked up on Wikipedia, and it states that the derivative of the denominator must not be zero.
I guess this is not a counterexample, just that L'Hopital's rule cannot be applied here.